国仪量子技术(合肥)股份有限公号/p>
白金会员
已认?/p>
等量吸附热(Isosteric heat of adsorption)是表征材料表面非均质性的关键参数,可揭示吸附剂特性及其吸附能力。它不仅能反映吸附质与孔壁相互作用的强弱,还能为碳捕集与封存(CCS)等应用提供更可靠的性能判断、/p>
01如何测定
以国仪量子微孔分析仪Sicope40为例,为获取该参数,测定时需对同一样品使用相同吸附质(但不同温度)获取多条吸附等温线——通常至少需要两条(推荐三条)不同温度下的物理吸附等温线数据、/p>
本质上,等量吸附热是通过在恒定吸附量(覆盖度θ)下绘制ln(P)?/T的曲线(即等量线,isostere)来确定的。每条等量线的斜率可用于计算该吸附量对应的吸附热。例如,下图1展示了一个简化的等量线图,基于两种温度(由两组垂直红色圆圈标示)和十处吸附体积(量)生成的等温线绘制而成,因此可得到十个吸附热值(每个吸附量对应一个)、/span>

? 等量线图的简化示侊/span>
各吸附量下的吸附热通过Clausius-Clapeyron的变形公式计算:

其中?△Hads为吸附热(单位:J/mol),R为气体常数(8.314 J·mol-1·K-1),lnP为压力的自然对数,T为分析温度(K),θ为吸附质在样品表面的覆盖度、/p>
02应用案例:四组活性炭对比

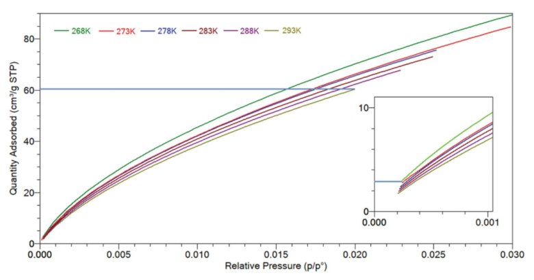
? 展示了活性炭A在六个温度下的吸附等温线,并标注了用于吸附热计算的吸附量上下限(浅蓝色标线)
<参数设置>9!--参数设置-->
上限值(60 cm³/g)由最低终吸附量等温线?93K)决宙/p>
下限值(3 cm³/g,见插图)由最高初始吸附量等温线(268K)决宙/p>
SiCOPE 40软件自动判断上述限值后(图3),输入插值点总数,系统自动生?00个线性间隔的吸附体积数据点,并绘制等量吸附热曲线图、/p>


? 软件设置界面
03结果分析

?. CO2在四种活性炭上的等量吸附热曲线图
四组活性炭吸附热特征(?(/strong>
所有样品均呈现相同趋势9span style="color: rgb(0, 112, 192);">低覆盖度时:吸附热较高(吸附质优先占据高能位点):/p>
覆盖度增加时9/strong>吸附热逐渐降低、/p>
关键差异
A、B:曲线下降平缓→吸附位点能量均一性高:/p>
D:在10 cm³/g处出现明显拐点→存在显著能量异质性、/p>
吸附容量对比
A/B/D:最大吸附量60-65 cm³/g(接近常压条件):/p>
C:显著较低(饱和吸附量仅45 cm³/g)、/p>
04孔隙特性与CO2吸附性能的关联分枏/strong>
N₂吸附表征结讹/strong>
A与B高度相似:超高比表面积(几乎全部来自微孔)、/p>
CO2吸附热数据发?/strong>
1.虽然孔隙参数相近,但B表现更优:全程吸附热更高——近饱和时比A?.5 kJ/mol?93K / 760mmHg条件下实测吸附量:A?6.0 cm³/g,B?7.0 cm³/g、/p>
2. 工程意义:B材料不仅能吸附更多CO2,其更高吸附热意味着需要更大能量触发脱附→在实际封存应用中具有更稳定的持留能力、/p>
3. 该研究中,活性炭D展现出最优异的CO2捕集与封存潜力:
吸附热优势:全程保持最高值,近饱和时较B? kJ/mol,较A/C?.5 kJ/mol:/p>
吸附容量突出9/strong>与性能次优的B材料相当。传统表征的误导性若仅依据BET比表面积和孔体积数据,可能误判B为最佳材料、/p>
05关键研究发现
孔隙参数的局限性:超高比表面积(源于极致微孔化)材料未必优于具有适度微孔-介孔结构的低比表面积材料,必须结合吸附过程热力学分析进行综合评估、/p>
吸附热测量的诊断价值:揭示传统孔隙分析无法检测的关键特性,例如:表面基团与CO2四极矩的特殊相互作用;不同吸附位点的能量异质性等、/p>
比表面积及孔径推荐设 国仪量子Sicope40 介绍9/strong>
测试通量?站并行测诔/p>
测试气体:N2、Ar、CO2、H2等其他非腐蚀性气佒/p>
测试范围:比表面积:0.0005 m2/g及以上;
孔径?.35-500 nm孔径精准分析:/p>
总孔体积?.0001 cc/g及以三/p>
误差率:定量误差<0.5%RSD(以标准样品BET值计)
重现性:定量误差<0.5%RSD
最可几孔径重复偏差?.02 nm
分压范围?0-8~ 0.999
脱气处理?站原位脱气;并配置独立样品预处理设备,独?组控?nbsp;
控温范围:室温~400 ℃,控温精度:?.1 ℂ/p>
分析模型:BET比表面积、Langmuir表面积、t-plot分析、BJH、HK、DR/DA、NLDFT孔径分布
如您有采购需汁/strong>
欢迎联系我们?/strong>

相关产品
更多
相关文章
更多
技术文竟/p>2025-10-28
技术文竟/p>2025-09-29