全站

  • 全站
  • 资讯
  • 产品
  • 厂商
  • 资料
  • 百科
  • 招聘
  • 会展
  • 图片
当前位置9/div> 首页 > 采购中心 > 供应信息 >
替代罗茨鼓风朹/div>
替代罗茨鼓风朹/div>
  • 型号

    替代罗茨鼓风朹/span>
  • 产地

    广东
  • 品牌

  • 产品分类

    风机
  • 关注?/p>337

  • 参考报件/p>

产品详情

螺杆鼓风机,作为高效能、低噪音的流体输送设备,具备气体洁净无油、节能、排气压力高、环境适应性强、气量调节范围广等优点,在多个工业领域中展现?*的性能与广泛的应用价值、/span>

  在污水处理行业,螺杆鼓风机凭借其稳定的气体输出,为生物反应池提供充足的氧气,促进微生物的活性,加速污水中的有机物降解,有效提升污水处理效率与水质标准、/span>

  在气力输送行业,螺杆鼓风机扮演着核心动力角色,它能够连续稳定地产生无油洁净压缩空气,将粉粒状物料如粉末、粮食等远距离、高效率地输送至目的地,显著降低了人力成本与环境污染、/span>

  在纺织行业,螺杆鼓风机以其低噪、稳定、高效的性能优势,为纺织加弹工艺提供稳定的气流供应,确保纤维在加弹过程中获得均匀的拉伸和卷曲,从而提升产品的柔软度和品质、/span>

  在生物发酵行业,其精准控制的气流供应,有助于维持发酵罐内的**氧合条件,促进微生物快速繁殖与代谢产物的反应、/span>

  在脱硫脱硝领域,螺杆鼓风机为脱硫塔、脱硝装置等关键设备提供必要的气动支持,助力实现高效的烟气净化处理,减少大气污染物的排放,积极响应国家环保政策要求、/span>

  综上所述,螺杆鼓风机凭借其**的性能、广泛的应用范围以及对环境友好的特性,在污水处理、气力输送、纺织、生物发酵、烟气脱硫、水泥厂脱硝等多个行业中发挥着重要作用,是推动产业升级与绿色发展不可或缺的关键设备、/span>


产品特点

高效节能永磁变频电机

  • 永磁同步电机(PM电机)采用高性能汝铁硼永磁体?80℃不失磁,使用寿命长?5年;

  • 电机能效达国家一级能效水平;

  • 定子线圈采用变频器专用耐晕漆包线,绝缘性能**,使用寿命更长;

  • 同轴一体结构设计,电机无轴承结构,传动效率100%,更节能:/p>

  • 免定期注油脂,免定期更换轴承:/p>

  • 电机具有温度保护功能(PTC);

  • 电机调速范围宽,精度高,气量调节范围更广;

  • 电机体积小,更节省空间;

  • 油冷双层机壳加润滑油隔音降噪,低噪音,低震动,运行平稳;

  • 防护等级高(IP55/65),环境适应性更好、/p>

高效无油螺杆主机

  • 采用干式无油双螺杆主机,压缩过程没有润滑油参与,确保压缩空气100%不含润滑油;

  • 航空技术超级涂层,间隙更小,确保高效性和耐用性;

  • 独特的型线设计,有效降低流体动力损失,对比传统罗茨风机节能效果可?0%:/p>

  • 直联驱动,对比皮带传动的罗茨风机,不需要更换皮带和皮带轮,降低了维护成本;

  • 精密设计的齿轮箱,控制转子与电机转速,可靠性更高,提高生产效益、/p>

  • 螺杆压缩式鼓风机突破罗茨风机**压力80kPa 的技术限制,压力可提高至200kPa,应用范围更广、/p>


高效排气消音?/p>


  • 进气和排气口都安装在固定位置,方便管道连接:/p>

  • 所有格栅均配有内衬,降低噪音:/p>

  • 独立冷却气流,避免再循环、/p>


一体化变频器驱动器


  • 带有完全集成的变频器的电器柜:无需额外工程和安装;

  • 专门选择的驱动部仵参数设置可精准实?*效率:/p>

  • 优化部件的选择:/p>

  • 降低安装成本、/p>


智能控制系统

  采用微电脑控制,全自动运行,对排气压力、温度等运行数据进行检测,通过微电脑控制器、变频器、变频电机的共同作用,为用户输出恒定的排气压力。当长时间不用气时,可自动停机,恢复用气又可再次启动,由此达到节能的目的(变频机型);中英文显示,具?2项重要指标警示;显示屏显示压力、温度、保养提醒,运行历史的高温、高压记录,供维护备查,可提供手动和自动控制两种功能?*限度地保证空压机的可靠运行,提高了使用寿命、/p>


技术参?/p>

强制润滑系列

image.png

image.png

image.png

image.png


自润滑系刖/p>

image.png

image.png

image.png

image.png

image.png

image.png

image.png


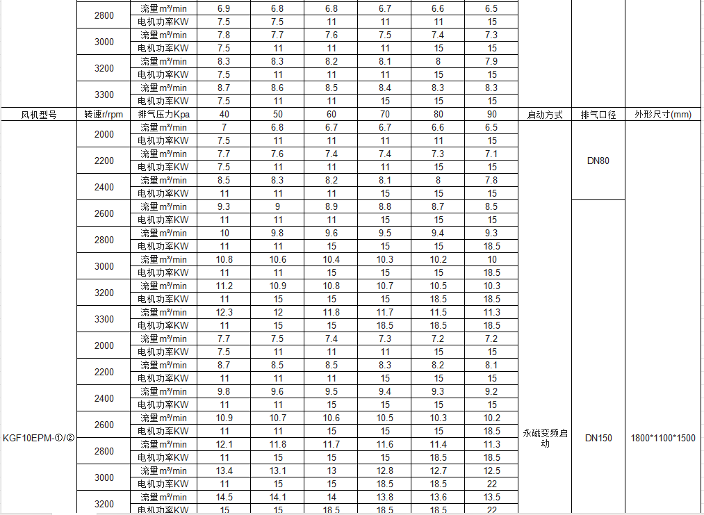
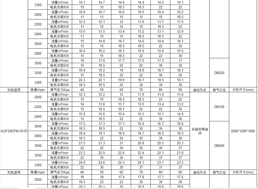
型号说明:KGF100:代表螺杆风机规格;①代表电动机功率kW;②代表排气压力Kpa;EPM:代表永磁变频电机驱动:/p>

举例:KGF100EPM-110/40:KGF100是风机规?约为该机型的**气量(m3/min);110代表电动机功?10kW;40代表排气压力40Kpa

排气压力160-200Kpa高压风机可定制,具体参数请与我司业务部查诡/p>


型号说明:KGF100:代表螺杆风机规格;①代表电动机功率kW;②代表排气压力Kpa;EPM:代表永磁变频电机驱动:/p>

举例:KGF100EPM-110/40:KGF100是风机规?约为该机型的**气量(m3/min);110代表电动机功?10kW;40代表排气压力40Kpa

排气压力160-200Kpa高压风机可定制,具体参数请与我司业务部查诡/p>


型号说明:KGF100:代表螺杆风机规格;①代表电动机功率kW;②代表排气压力Kpa;EPM:代表永磁变频电机驱动:/p>

举例:KGF100EPM-110/40:KGF100是风机规?约为该机型的**气量(m3/min);110代表电动机功?10kW;40代表排气压力40Kpa

排气压力160-200Kpa高压风机可定制,具体参数请与我司业务部查诡/p>


应用领域

广泛应用于污水处理、气力输送、生物发酵、脱硫脱硝、水产养殖、纺织熔喷等行业、/p>

在线询价

*联系亹/p>

*联系电话

*单位名称

邮箱

地址

*留言

*验证?/p>