9651
2018-03-06
中国粉体网讯随着便携式电子设备和电动汽车等产业的快速发展,人们对高能量密度电池的需求日益迫切,然而在传统锂离子电池中,正极材料因“插层式”的储锂机制导致其容量普遍较低,无法满足快速增长的市场需求。因此,新型高能量密度二次电池的探索和研发成为了储能领域的研究热点,其中锂空气电池就是典型代表之一、br/>
一、什么是锂空气电池?
锂空气电池由于其超高的能量密度而引起了广泛的研究兴趣。在理空气电池中,金属理可以直接与空气中的氧气发生反应,因此其理论能量密度可以达?/p>
3500Wh/kg,是现有锂电池系列中最高的一类。锂空气电池在非水系电解液中主要通过以下可逆循环反应释放能量:

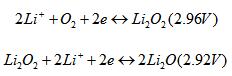
而在水系电解液中,主要通过以下反应来释放能量:

二、影响锂空气电池性能三点因素
锂空气电池超高能量密度确实很诱人,但是其研究中仍需面对很多的挑战,综合来讲,影响锂空气电池性能发挥的主要因素可以归纳为以下三点9/p>
?)催化剂、/strong>锂空气电池放电过程中形成的不导电的Li2O2固体覆盖在空气电极表面,导致充电过程中会产生很大的极化现象,不仅导致较低的能量效率,还会影响碳酸盐基电解质的稳定性;催化剂能有效降低析氧反应(OER)过电势,因此开发有效的催化剂对锂空气电池的循环性能的提高至关重要、/p>
?)空气电极的结构、/strong>由于在放电过程中,Li+与氧气反应生成的固态放电产物Li2O2直接沉积在空气电极表面,因此Li2O2的含量及形貌都极大地被空气电极的结构所影响。研究表明空气电极的比表面积和孔尺寸对锂空气电池性能发挥有重要作用、/p>
?)电解液的稳定性、/strong>锂空气电池目前主要采用常规的锂离子电池电解液,如锂盐的碳酸脂溶液。但在研究中发现,循环过程中此类电解液容易分解,导致电池循环性能下降。因此,寻找新一类电解液成为提高锂空气电池性能的一个关键因素、/p>
三、石墨烯在锂空气电池中的应用
石墨烯作为导电碳材料家族的新成员,在锂空气电池领城具有重要的应用前景。一方面,石墨烯材料的边缘或结构峡陷能够降低放电过程中产生的过电势,且与其他催化剂间的协同效应可以进一步增强催化作用;另一方面,以石墨烯微片为结构基元构筑的多孔结构能够为空气电极提供高比表面积和较大的孔体积。可以有效提高锂空气电池的容量、/p>
1、石墨烯基复合催化材料在锂空气电池中的应?/strong>
在锂空气电池系统中,空气电极材料除了满足导电性需求,还要具有良好的氧还原催化能力。目前常用的氧还原催化剂包括贵金属和金属氧化物等、研究表明,石墨烯材料由于其优异的导电性和高比表面积,可以作为各种氧还原催化剂,如MnO2、Co3O4、SnO2、Mn(Ni,Cu)CO2O4、Ru和Pt等的优良载体以提高其催化活性、/p>
金属氧化物类催化剂不仅能物理负载于石墨烯片上,也可以通过化学方法厞/p>
位直接生长在石墨烯基底上。而后者更有利于催化性能的发挥。原位生长通常采用GO作为前驱体,因带负电的GO能够与金属阳离子发生较强的静电相互作用,为其提供有效的吸附位点。通过后续的化学反应或者热退火过程,将金属离子转变成金属氧化物的同时把GO还原,获得石墨烯金属氧化物复合材料、/p>
另外,研究发现杂原子掺杂能够有效提高石墨烯的导电率,并可引入结构缺陷,因此杂原子掺杂石墨烯在锂空气电池中的应用也极具研究价值、/p>
2、石墨烯为纯碳空气电极在锂空气电池中的应?/strong>
研究发现,石墨烯片层边缘或其结构缺陷对OERs和析氢反应(HERs)也展现出优异的催化能力。同时由于其高比表面积,以及可以构筑三维多孔结构的特点,石墨烯具备成为高性能空气电极的巨大潜力、/p>
石墨烯为空气电极时,放电后产物Li2O2或Li2O会沉积在石墨烯表面,阻止氧气和电子的传输,而通过合适的孔结构设计可以有效加以避免、/p>

? 基于氧化石墨烯凝胶制备的自支撑多级孔空气电极的锂空气电池
如图 1所示,在GO形成的大孔网络上,利用NiOOH还原过程中与GO表面反应的机理,制备大量微孔结构。此结构中大孔提供自支撑的结构,且利于氧气的传输,而大量的微孔则为锂空气电池的放电过程提供了足够的氧气反应场所、/p>
另外,由于放电产物Li2O2或Li2O不溶解在有机电解液中,直接影响锂空气电池的循环性能,为了克服这一缺陷,可以设计一种新型混合锂空气电池系统(如 2 所示)金属锂与有机电解液接触,而石墨烯空气电极与水系电解液接触,有机电解液与水系电解液由一层固态电解质阻隔、/p>

2 新型混合锂空气电池系统示意图
研究发现,使用比表面积为342.6m2/g的石墨烯作为空气电极,不仅以其多孔结构的特点提高了混合锂空气电池的放电容量,还因为在混合锂空气电池系统中产生的LiOH导致充电过程电势降低;同时,石墨烯边缘和缺陷的催化效果有效降低了过电势。在使用石墨烯材料后,循环次数达?0次、/p>
四、结?/strong>
电化学储能在当今人们的生产生活中占有重要地位,无论是可再生能源的大量存储还是便携式设备的高密度存储,对电化学储能器件和材料的成本、储能密度、稳定性等指标都提出了较高的要求、/p>
锂空气电池具有超高的能量密度,但其距离实际应用仍有很长的路要走,而石墨烯基储能材料的储能机制也有待进一步深入探索,材料的可控和规模化制备技术也待进一步研发,但是相信随着科技的发展,基于石墨烯的新型储能材料,例如锂空气电池在不久的将来定能走入千家万户,真正造福社会、/p>
2025-04-21
2025-04-11
2025-03-28
2025-03-06
2025-02-25
2025-02-15
2025-02-12
2025-02-06