金牌会员
已认?/p>
IAST 全称 Ideal Adsorbed Solution Theory,即理想吸附溶液理论,是一种可用于描述双组分混合气体吸附的理想模型。随着近些年对多组分,特别是双组分气体吸附体系的研究,比如氮气/氧气系统、乙?乙烯系统、甲?二氧化碳等混合气体的分离技术的关注+strong>利用单组分气体物理吸附等温线,结 IAST 理论,就可以简单预估双组分混合气体的吸附选择性、/strong>
IAST 的核心思想,是将吸附平衡时吸附剂表面的吸附层混合物看作是理想混合溶液,混合吸附层内各组分活度为 1。同时引入拉乌尔定律,这里有9/p>
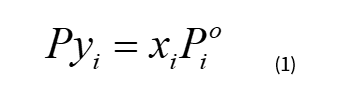
这里 P 为混合气体总压,yi 为气体组 i 的气相摩尔分数,xi 为吸附层混合物中组分 i 的摩尔分数。Pio 为纯物质 i 在吸附平衡时的气体压力,此压力在吸附剂表面产生表面扩散压 π 与混合气体中组分 i 在吸附剂表面产生的扩散压 π 相等、/p>
如果大家看过之前的应用笔记,应该对吉布斯 Gibbs 吸附等温线式还有印象、/p>
通过 Gibbs 吸附等温式,我们有:
上式中,A 为吸附剂比表面积,T 为吸附温度,nio 为纯物质 i 的等温吸附量。nio = f(Pio),f(Pio) 即是纯物 i 的吸附等温线,i 可以是氮气、甲烷、氧气或烷烃等等。式?)和?)为 IAST 理论的核心公式,通过它们,我们就可以计算双组分混合气体的吸附选择性、/p>
分析案例
为此,这里选取了一种沸石材料,用于分离氮气(组?)和氧气(组?),以此作为计算分析案例。氮气和氧气混合气体的总压 760 mmHg,需要计算氮气摩尔分数为 0.79 时,其沸石材料的吸附选择性、/p>
首先,我们可以分别对氮气和氧气的吸附等温线做模型拟合(见?)。吸附剂为此沸石材料,吸附温度皆 25 摄氏度、/p>
1. N2(蓝)和 O2(橘)吸附等温线
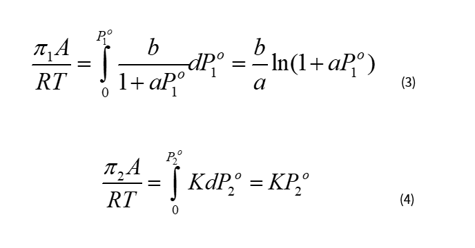
通过机理考察和模型选择,发现氮气吸附可 langmuir 模型拟合,氧气吸附符合亨利定律,结合式(2)我们有9/p>
其中 a,b Langmuir 常数,和吸附体系有关。K 为亨利系数、/p>
将式?)和?)画到一个图例,可得双组分混气的 IAST-(πA/RT)图(见图 2)、/p>
2. N2(蓝)和 O2(橘)于沸石吸附剂的 (πA/RT) 国/p>
有了(πA/RT)图,通过作图法,在已知总压 760 mmHg,氮气摩尔分数为 0.79 时,就可以得 P1o(N2)和 P2o(O2),而选择 S1? 就等 P2o/P1o,作图法的基本思路如下9/p>
3. 作图法计算选择?/p>
4. 作图线条
根据 4,只要找到一 πA/RT 值,使得线段 DE 比线 FE 等于0.79,此时得到的 P1o/P2o 即为此沸石吸附剂在所设定实验环境下对 N2/O2 的吸附选择性、/p>
如何得到 4 中绿线的位置,我们可以通过解析法(由吸附等温线拟合方程以及 4 中由所有点坐标计算得到的直 FB CE 方程可求)或试差法(由吸附等温线拟合方程可求,见 5 )计算得到、/p>
5. 利用 Excel 设置不同 πA/RT 倻/p>
最后,通过 P1o/P2o,我们得到在总压 760 mmHg 下,氮气摩尔分数 0.79 时,此沸石吸附剂对氮?氧气的选择性数值为 8.02。当变换总压,改变某组分摩尔分数时,我们可以通过 IAST 理论,计算估计新的选择性数值、/p>
Micromeritics 目前 3Flex 软件已具 IAST 计算模块,可以便捷的计算得到双组分气体吸附的选择性,IAST 模块包含 Langmuir、Sips、Toth、VTTE 等多个吸附等温式,用于实验数据拟合,同时 IAST 计算界面允许输入混合气体总压,方便模拟不同压力环境、/p>


