丹东百特仪器有限公司
钻石会员
已认?/p>
影响Zeta的因素有很多,例如pH值、电导率(浓度、盐的类型)、组成成分浓度的变化(如高分子、表面活性剂)等等,在本次应用中,我们检测了一个共聚物球悬浮液,通过加入不同量的吐温80,观察Zeta电位的变化、/p>
原理和设夆/strong>
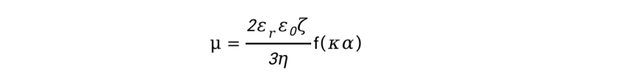
电泳光散射技术ELS是利用激光照射在样品溶液或者悬浮液上,检测向前角度的散射光信号。在样品两端施加一个电场,样品中的带电颗粒在电场力的驱动下进行电泳运动。由于颗粒的电泳运动,样品的散射光频率会产生一个频移,即多普勒频移。利用数学方法处理散射光信号,得到散射光的频率移动,进而得到颗粒的电泳运动速度,即电泳迁移率μ。通过Herry方程,我们把颗粒的电泳迁移率和其Zeta电位ζ联系起来9br/>

其中ε为介电常数,为溶剂粘度,f(κα)为Henry函数,κ为德拜半径倒数,α代表粒径,κα代表了双电层厚度和颗粒半径的比值、/p>
本次仪器使用丹东百特仪器有限公司的BeNano 90 Zeta 纳米粒度及Zeta电位仪。该仪器使用波长671nm,功?0mW激光器作为光源,设置在12°角的APD检测器进行散射光信号采集。采用相位分析光散射技术,可以有效检测低电泳迁移率样品的Zeta电位信息、/p>
样品制备和测试条仵/strong>
将样品稀?000倍后,取1mL样品,分别加?0μL?μL?.5μL以及0.05μL的吐?0。BeNano 90 Zeta内置的温度控制系统开机默认测试温度控制为25℃?.1℃。样品注入毛细管电极,利用电泳光散射进行Zeta电位测试,每个样品进行三次重复性测试,以得到测试的标准偏差、/p>
测试结果和讨讹/strong>

?是Zeta电位与吐温添加剂之间的关系曲线,每一个数据点都是多次测试的平均值,数据点上显示了标准偏差,每个点标准偏差很小,说明实验结果具有极好的重复性。通过曲线可以看到,聚合物球本身携带负电,未加入吐温时Zeta电位?31.9mV。当加入极少量的吐温80时,Zeta电位绝对值略有增大变?40.9mV,但随着继续加入吐温,Zeta电位的绝对值数值又变小。加?0 μL吐温时,电位降至-12.0mV。分析其原因,有可能是加入吐温后,吐温会吸附在聚合物球的表面,当加入吐温量很低的时候,吸附在聚合物球表面的吐温增加了聚合物球的亲水性,导致电位绝对值增加,而随着更多吐温的加入,大量吐温分子吸附在聚合物球的表面,屏蔽了球表面带电基团和周围分散液,导致了Zeta电位绝对值下降、/p>
这个应用中可以看出,小分子添加剂对于颗粒悬浮液体系的Zeta影响是巨大的,在研究体系Zeta电位的过程中,应该特别注意分散剂环境的组成。当报道一个体系的Zeta电位时,不应该单纯的提到颗粒物质是什么,还应该详细的标注分散液的组成成分及含量,因为这都是决定Zeta电位的因素、br/>
相关产品
更多