中国粉体网讯由于碳酸钙为亲水性无机化合物,表面含有大量的羟基结构,使得碳酸钙与有机高聚物的亲和性差,易形成聚集体,在高聚物内部分散不均匀,从而造成复合材料间界面缺陷,直接应用效果不好,并且随着填充量的增加,这些缺点更加明显,过量填充甚至使制品无法使用。因此,为了提高碳酸钙的补强作用以及在复合材料中的分散性能,进而改进碳酸钙填充复合材料的物理性能,有必要采用不同的改性方法对碳酸钙粉体进行改性,拓宽碳酸钙的应用领域,使其成为一种功能性补强填充改性材料、br/>
碳酸钙的改性途径主要有两个:一是改变粒度,·使矿物颗粒微细化或超微细化,改善其在树脂中的分散性,并以微小的颗粒和大的比表面积获得在塑料、橡胶等制品中的补强作用;二是改善微粉的表面性能,使其由亲水性向亲油性转变,从而增大微粉与有机树脂的相容性,改善制品的加工性能和物理机械性能。这种方法主要采用表面改性剂对碳酸钙进行表面活化处理。以下介绍几种主要的碳酸钙表面改性剂、br/>
无机物改性剂
无机电解质分散剂吸附在纳米碳酸钙表面,一方面可以通过提高表面电位绝对值产生较强的静电排斥作用;另一方面可诱发很强的空间排斥效应。同时还能增强纳米碳酸钙表面对水的润湿程度,从而防止它在水中的团聚、br/>
常用的无机物主要有缩合磷酸、铝酸盐、无机盐、酸碱、明矾、无机粒子等。纳米碳酸钙由于耐酸性较差,影响了它的使用范围,可采用缩合磷酸对其进行表面改性,在其表面形成一层完整而致密的包覆层,利用包覆层的憎水作用和空间位阻效应阻止它和内层氢离子的接触,这样既能提高碳酸钙的分散性和活化性,又可以改善其耐酸性,拓宽应用领域、br/>
改性后产品的pH值为5.0~8.0(较表面处理前下?.0~5.0),难溶于醋酸等弱酸中,耐酸性较好。此产品可用于塑料、橡胶、涂料、造纸、食品和牙膏等行业中、br/>
脂肪酸及其盐类改性剂
脂肪酸或硬脂酸盐类改性剂是碳酸钙填料的传统改性剂,它价格低廉,且对碳酸钙填料改性效果良好。这类改性剂主要是含有羟基、氨基或巯基的脂肪族、芳香族或含芳烷基的脂肪酸盐。这种脂肪酸分子一端为长链烷基,与聚合物相容性好;另一端的RCOO-,能与碳酸钙表面的钙离子形成化学键,产生活性包覆层,防止碳酸钙粒子团聚。目前普遍使用的脂肪酸为硬脂酸及其盐。另外,木质素、树脂酸及其盐也可用来对碳酸钙进行表面处理、br/>
Jea等研究了经硬脂酸改性的碳酸钙对聚丙烯流变性能的影响,结果显示聚丙烯的拉伸强度和冲击韧性大大提高、br/>
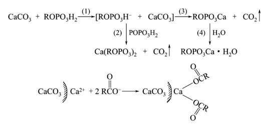
磷酸酯类改性剂
磷酸酯对碳酸钙粉体进行表面改性主要是通过磷酸酯和碳酸钙粉体表面的Ca2+反应形成磷酸钙盐沉积或包覆在碳酸钙粒子表面,从而改变了碳酸钙粉体的表面性能。用磷酸酯化合物作为碳酸钙粉体的表面改性剂,不仅可以使复合材料的加工性能、机械性能显著提高,对耐酸性和阻燃性的改善也有较好的效果、br/>

磷酸酯类、硬脂酸与碳酸钙反应示意国br/>
Yan等对PVC/新型磷酸酯改性纳米碳酸钙复合材料的微观结构和物理性能进行了研究,结果表明改性纳米碳酸钙对PVC复合材料增韧效果明显,物理性能提高、br/>
偶联剂类改性剂
偶联剂是一种两性结构物质,分子中的一部分具有亲水性的极性基团可与粉体表面的各种官能团反应,形成强有力的化学键,另一部分具有疏水性非极性基团可与有机高分子发生化学反应或缠绕,从而可以将碳酸钙粉体和高分子基体这两种性质差异很大的材料通过界面层牢固地结合在一起、br/>

碳酸钙与偶联剂反应示意图
但是,用此方法存在如下问题:一是偶联剂价格较高;二是不同的偶联剂对不同的聚合物有一定程度的选择性;三是在某些聚合物中使用时,偶联剂容易引起变色,在贮存或在塑料混炼加工过程中,易发生水解或分解、br/>
国内外用于碳酸钙表面处理的偶联剂有数十种之多。常用的有硅烷类偶联剂、钛酸酯偶联剂、铝酸酯偶联剂、复合偶联剂等、br/>
?)硅烷偶联剂是开发最早、应用最广的一类偶联剂,对于一般的硅烷偶联剂,因羟基数过少,和重质碳酸钙表面难发生甚至不发生偶联反应,只有当树脂与硅烷偶联剂有相似的基团才能起到改性作用。何毅等选用硅烷偶联剂KH560对重质碳酸钙的表面进行接枝改性,将改性后的重质碳酸钙填充于环氧树脂中,提高了环氧涂层的热稳定性、相容性和耐腐蚀性、br/>
?)钛酸酯偶联剂是20世纪70年代后期由美国肯利奇石油化学公司开发的一种偶联剂,根据分子结构类型不同,钛酸酯偶联剂主要分为单烷氧基型、单烷氧基焦磷酸酯型、配位型和螯合型。其中单烷氧基型适合于不含游离水、只含化学键合水或物理键合水的干燥填充剂体系,而其他三类钛酸酯偶联剂对体系含水量无要求、br/>
利用钛酸酯偶联剂改性的重质碳酸钙应用在橡胶行业中,可减少橡胶用量和防老剂用量,提高制品耐磨强度和抗老化能。将单烷氧基钛酸酯偶联剂改性重质碳酸钙填充于涂料中,提高了重质碳酸钙在涂料中的分散性;改善了加工流动性;提高了材料的热稳定性和力学性能等。应用在造纸行业,可增强纸张强度,改善纸张印刷性能等、br/>
虽然钛酸酯偶联剂的改性效果优异,但本身易氧化而变色;分解温度较低;钛酸酯分子的亲有机端易发生醇解或水解;不利于人体健康和生态环境等,这些弊端极大限制了其应用领域的进一步发展、br/>
?)铝酸酯偶联剂:福建师范大学创制的铝酸酯偶联剂,对制品力学性能和加工性能方面的改善,可与钛酸酯偶联剂改性效果相媲美;与钛酸酯偶联剂相比,铝酸酯偶联剂具有色浅、无毒、常温是固体、热稳定性高、使用方便等优点,同时铝酸酯偶联剂本身有一定的润滑增塑功效,所以对重质碳酸钙表面改性,铝酸酯偶联剂改性效果优于硅烷偶联剂和钛酸酯偶联剂。经铝酸酯偶联剂改性的重质碳酸钙常用来填充聚丙烯、聚氯乙烯、硬聚氨酯弹性体等体系,在提高填充量的同时,所得制品仍然具有良好的物理和应用性能,极大降低了成本、br/>
?)复合偶联改性剂改性是以偶联剂为基础,与其他加工改性剂、表面处理剂、交联剂相结合,对重质碳酸钙的表面进行复合改性处理。对重质碳酸钙进行改性处理同时选择两种或多种改性剂,发挥每种改性剂自身的优势,使重质碳酸钙的改性效果更加优良,更能满足各种功能化、专业化的需求、br/>
聚合物改性剂
采用聚合物对碳酸钙进行表面改性,可以改进碳酸钙在非水体系中的分散稳定性。一般认为,聚合物包覆碳酸钙可分为两类:一类是先把单体吸附在碳酸钙粉体表面,然后引发其聚合,从而在其表面形成极薄的聚合物膜层。另一类是将聚合物溶解在适当溶剂中后加入碳酸钙,当聚合物逐渐吸附在碳酸钙表面上时排除溶剂形成包膜。这些聚合物可定向的吸附在碳酸钙粉体的表面,使碳酸钙粉体具有荷电特性,并在碳酸钙表面形成物理、化学吸附层,可阻止碳酸钙粒子团聚结块,改善分散性,同时其含有较长的亲油碳链,与树脂的相容性好,相互作用强,偶联作用较好、br/>
聚合物PMMA改性纳米碳酸钙时,产物粒径可达到纳米级,同时有增强、增韧作用。用烷氧基苯乙烯-苯乙烯磺酸共聚物改性时,分散性也明显提高。聚烯烃低聚物如聚乙烯蜡、无规聚丙烯等对纳米碳酸钙有较好的浸润、粘合作用,将它们与纳米碳酸钙按一定比例混合,再加入表面活性剂,可制成新型母粒填料,在许多领域广泛应用、br/>
结语
碳酸钙粉体表面处理为碳酸钙的应用注入了新的活力。经过表面处理的碳酸钙应用范围广泛,性能更加完善,因此碳酸钙的表面处理是各国竞相开发的一大热点。有优异改性效果的低毒或无毒的新型表面改性剂的开发与制备是碳酸钙工业的主要发展方向、br/>
参考资料:
毛萃:碳酸钙改性助剂的合成与应用研穵br/>
王千,谭必恩:重质碳酸钙改性研究进屔br/>
刁润丽,张晓丽:纳米碳酸钙的表面改性研究进屔br/>
注:图片非商业用途,存在侵权告知删除?/p>