中国粉体网讯?002年碳纳米管的荧光特性首次被观测到以来,荧光光谱已经被广泛地应用于表征碳纳米管的原子结构、光电子和物理特性。不同于其他荧光材料,对于一维碳纳米管而言,因为其发光波长和吸收波长存在严重的重叠,即斯托克斯位移非常小,所以光子再吸收效应将对荧光产生严重影响,直接导致了碳纳米管的荧光光谱形状和荧光强度强烈地依赖于碳纳米管的浓度。这个问题使得荧光光谱定量表征碳纳米管的碳原子含量、本征荧光量子效率等变得非常困难、/p>
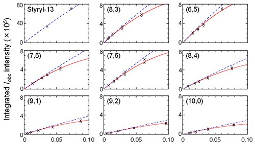
近期,中国科学院物理研究所/北京凝聚态物理国家研究中心先进材料与结构分析实验室副研究员魏小均、研究员刘华平和日本产业技术综合研究所首席研究员Hiromichi Kataura等合作,在碳纳米管荧光量子效率研究方面取得进展。研究团队基于凝胶色谱分离技术制备了不同手性的碳纳米管材料(图1),并定量解析了碳纳米管荧光光谱中的光子再吸收效应(?和图3)。随后基于再吸收效应修正了不同手性碳纳米管的本征荧光量子效率(图4和表1),并首次通过实验揭示了碳纳米管荧光量子效率和能带结构的依存关系(?)。实验结果表明:(i)由能带结构所支配的光学声子的驰豫过程是决定碳纳米管荧光量子效率的主要因素;(ii)具有类似直径的碳纳米管,因为手性和能带结构的不同,其荧光量子效率存在数量级的差异、/p>
此项工作不仅解决了如何使用荧光光谱定量表征碳纳米管荧光量子效率、各种手性碳纳米管含量分布等的瓶颈问题,而且为今后如何选取具有本征优异光电性质的单一手性碳纳米管,发展高性能光电子器件、生物成像、分子探测等应用提供了重要指导作用、/p>
该工作以Photoluminescence Quantum Yield of Single-Wall Carbon Nanotubes Corrected for the Photon Reabsorption Effect 为题,发表在《纳米快报》杂志上。这项研究得到国家自然科学基金(51820105002, 11634014, 51872320)、科技部国家重点研发计划(2018YFA0208402)等的支持、/p>

?:基于凝胶色谱分离技术制备的不同手性碳纳米管材料、/p>

?:碳纳米管光吸收和荧光特性的浓度依存性、/p>

?:本征的、再吸收的和观测到的荧光光谱解析、/p>

?:不同手性碳纳米管荧光光谱积分强度的浓度依存性、/p>
?:不同手性碳纳米管的结构参数和每个碳原子荧光量子效率、/p>


?:碳纳米管荧光量子效率的手性依存性、/p>
(中国粉体网编辑整理/墨玉(/p>
注:图片非商业用途,存在侵权告知删除?/p>