登录
微信
关注微信公众叶/span>
客户服务
13032
2023-07-08
中国粉体网讯
【研究亮点【/p>
固态电解质的发展使得固态电池能够与液态电解质电池竞争,但在确保与电极的良好接触方面仍然存在挑战,从而限制了实际中可使用的电极的厚度。本文利用高熵材料的特性,通过增加已知锂超离子导体的成分复杂性,设计了一种高离子电导固态电解质,以消除离子迁移障碍,同时保持超离子传导的结构框架。具有复杂组成的固态电解质合成相展现出增强的离子电导率(室温下达到32mScm-1),且能够在室温下对厚锂离子电池正极进行充电和放电,因此有可能改变传统的电池配置、/p>
【主要内容【/p>
全固态锂电池引起了广泛研究兴趣,因为固态电池具有提高安全性和增强能量-功率特性的潜力。经过数十年的研究,全固态电池能够以>10mAcm-2的高电流密度放电。尽管这些固态电解质的电导率与液态电解质的电导率相当,但它们的刚性可能是一个缺点。由于正极活性材料的表面难以润湿,固态电解质必须在微观结构水平上并入电极中,从而导致其内部存在空隙空间。这阻碍了Li+向活性材料的均匀传输,导致容量损失。这个问题可能在毫米厚的电极中变得更加明显,当固态电解质的电导率较低时,欧姆压降会增加,导致固态电池容量衰减严重。无机离子导体的发展历史表明,电导率的增强是通过多重取代策略实现的。多重取代方法对于实现具有更高离子电导率的相具有前景,前提是材料具有超离子传导路径的特定晶体结构,例如LGPS型晶体结构。然而,还没有实际的原理来实现阴离子和阳离子的组成复杂性或避免目标晶体结构的崩溃。因此,这种多元素替代策略尚未用于设计具有高电导率的超离子晶体、/p>
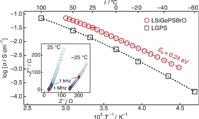
鉴于此,日本东京工业大学RyojiKanno教授团队使用高熵材料设计开发了一种具有高Li+电导率的固体Li9.54[Si1-δMδ]1.74P1.44S11.1Br0.3O0.6(LSiMδPSBrO,M=Ge,Sn,同时保留了目标LGPS型LSiPSCl晶体结构。单相LSiGePSBrO(M=Ge,γ0.4)的体积电导率在25°C时为32mScm-1,大约是原始LGPS的三倍,是迄今为止报道的Li+导体中电导率最高的。理论计算和结构分析表明,即使LSiGePSBrO中的化学取代程度很小,也可以使离子迁移的能垒变平,从而导致该相的Li+离子电导率增强。这些极高的电导率可促进全固态电池中活性材料的有效使用,特别是具有厚正极配置的电池。具有高负载正极(厚?00μm)并采用LSiGePSBrO作为固态电解质的全固态电池在25?10°C下表现出22.7?7.3mAhcm?2的放电容量,分别对应?7%?3%的活性材料利用率。这项研究强调了高离子电导率对于使用厚正极配置的全固态锂电池充放电性能的重要性。本文提出的设计规则可以加速人们对于超离子导体的探索、/p>

?|所报道的LGPS型(空心圆圈)和硫银锗矿型(空心方块)电解质的晶体结构指标(t,阴离子与阳离子的体积比)与成分复杂性度量(Smix)之间的关系、/p>

?|LSiPSBrO结构分析、/p>

?|离子电导率、/p>

?|全固态电池性能、/p>
【文献信息【/p>
YuxiangLi,etal.Alithiumsuperionicconductorformillimeter-thickbatteryelectrode.Science.381,50-53(2023).
https://www.science.org/doi/10.1126/science.add7138
(中国粉体网编辑整理/文正(/p>
注:图片非商业用途,存在侵权告知删除?/p>