麦克默瑞提克(上海)仪器有限公司
金牌会员
已认?/p>
1
H+Mordenite (SiO2/Al2O3:90/1)的酸性位表征:
AutoChem的脉冲化学吸附和TPD应用
前言
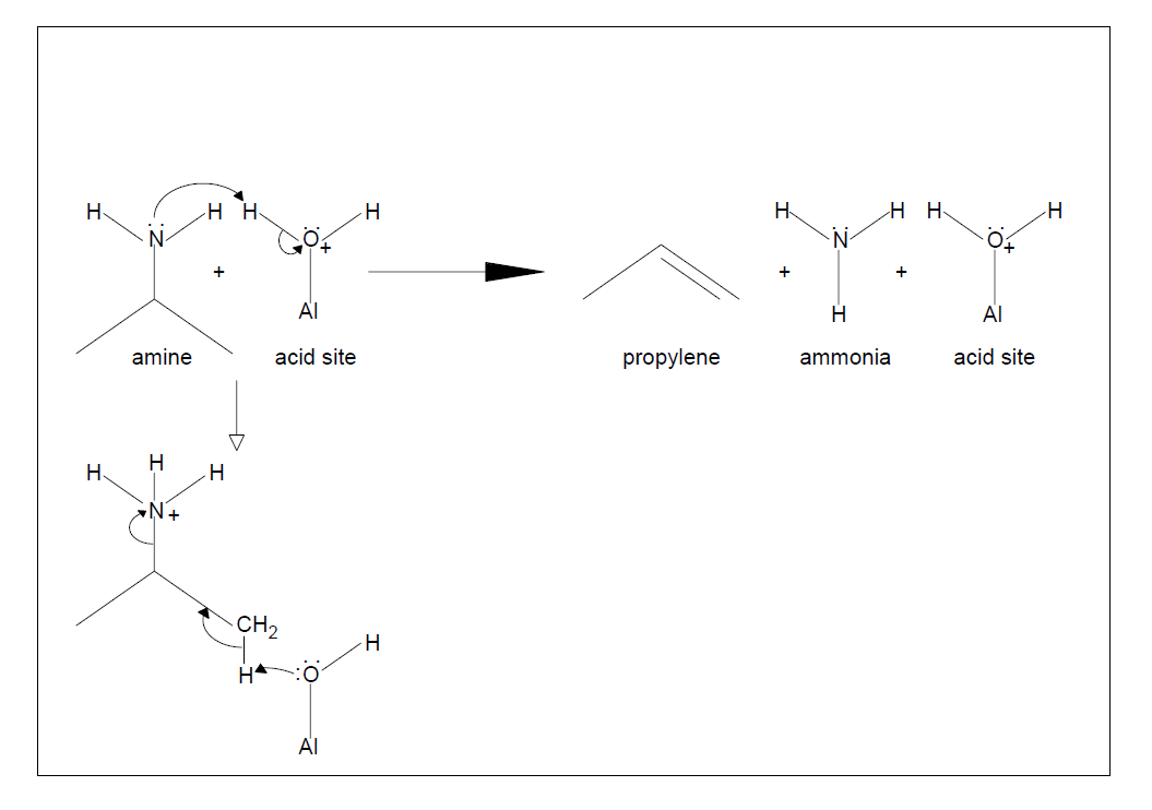
分子筛和其它催化剂的Brønstead酸度是影响反应动力学的重要因素。因此,这些酸位点的表征非常重要,通常是参照氨化学吸附法测定催化剂酸度的标准试验方泔/span>(ASTM D 4824)进行表征。此外,另一种表征方法则是使用丙胺对样品进行脉冲化学吸附,随后进行程序升温脱附(TPD)并连用质谱仪检测丙烯的方式进行分析(见国/span>1)。采用带有蒸汽发生器选件皃/span>AutoChem化学吸附仪与质谱仪联用可以进行该过程的完整表征分析、/span>

?.胺与酸位点反应,通过类似霍夫曼消除反应分解成丙烯和氨

图为 美国麦克仪器公司AutoChem系列化学吸附?/p>
实验部分9/span>
材料
本文中使用的催化剂为氢型丝光沸石H+Mordenite (SiO2/Al2O3:90/1)。分别以异丙胺(> 99.5$/span>GC)和丙胺'/span>> 99.0$/span>GC)作为试剂。丙烯(> 99%)也用于校正、/span>
制备
丝光沸石'/span>mordenite zeolite)可以带有不同的阳离子,包括NH4+咋/span>H+。这些阳离子可通过升温转变丹/span>H+。样品首先在惰气气氛中以10? min的速率加热臲/span>500ℂspan style="font-size: 16px;font-family: 宋体;">进行活化,然后降温至分析温度200ℂspan style="font-size: 16px;font-family: 宋体;">、/span>
分析
丝光沸石活化后即进行脉冲化学吸附。在此步骤中,采用惰性气体氦气,通过流经一?/span>5cm3皃/span>loop环向样品中注?/span>10次丙胺蒸汽,以确保样品吸附饱和。分析的最后一步是程序升温脱附'/span>TPD)。在这一步中,质谱仪开始扫描检测产物丙烯信号、span style="font-size: 16px;background: white;">数据是在200°C?/span>500°C皃/span>程序升温期间采集得到、/span>
结果分析9/span>
数据
为了获得定量数据,质谱仪必须通过采用高精度注射器刺穿垫圈注入已知体积Vcal的待检测气体(丙烯)来进行校准。质谱仪信号的峰面积可以通过AutoChem峰值编辑软件得到。为了增加校正精度,可以进行多次注射直至峰面积相似为止。然后可以对这些峰面积取平均值,以给出实际气体体积与质谱仪峰面积之间的转换系?/span>Vcal/Acal,从而计算出分子筛的酸度。图2为此过程的示例、/span>

?. 面积-体积校准过程中质谱仪信号的示侊/span>

?.AutoChem的热导率数据

?.质谱仪峰值结枛/span>
此外,图3和图4表明,热导检测方法可检测到化学吸附中残留的胺和氨,而质谱仪检测则已区分出丙烯信号+span style="background: white;">从而可以计箖/span>酸位点的浓度、span style="background: white;">对图4中丙烯信号积分后可得峰面?/span>Apms,酸位点浓度Nas可通过下式进行计算9/span>

以下是由国/span>4中数据得到的计算值,浓度值的单位为酸位微摩尔/每克分子筚/span>、/span>
