麦克默瑞提克(上海)仪器有限公司
金牌会员
已认?/p>
微孔材料是指那些含有孔径或孔宽小 2nm 孔的材料,比如活性炭、分子筛、催化剂载体、MOF 材料和生物质衍生材料等。对于微孔的孔道内表面积、孔体积、孔径分布、孔隙率和孔表面能等孔道信息的表征,一般可选用气体物理吸附法,并结 t-plot、DA/DR、HK DFT/NLDFT 等模型去分析等温线数据、/p>
本文将介绍微孔孔径分析之DR法、/strong>
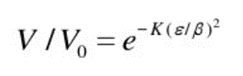
DR 法全称是 Dubinin-Radushkevich 孔体积填充理论(微孔填充),此理论假设微孔孔径具有均匀的高斯分布:

其中 V 是在一定相对压力下的累计吸附量,V0 是所有微孔总吸附量,K 是苯蒸汽特征吸附能相关常数,β 为相似性系数,ε Polanyi 吸附势、/p>
Polanyi 吸附势定义为9/span>


吸附势可以看成吸附空间两点的化学势之差,吸附质吸附形态为饱和液体、/p>
将式?)带入式?(/strong>后,再两边取自然对数可得 DR 方程9/p>

P/P0 10-4 10-1,通过线性段截距和斜率可得微孔总吸附量和吸附质特征吸附 E=βE0,(E0 为苯蒸汽特征吸附能,β 为相似性系数)、/p>
假设微孔填充为单层覆盖,则通过 V0(即下式 Vm)可以计算微孔孔内表面积 SA9/p>


DR 法作图线性度依赖于吸附质总类,如苯和壬烷蒸汽线性度好、/p>
同时通过 DA 法,可以通过下式计算微孔孔径 r 分布9/p>

其中 D 为色散力作用能, n 2 时,DA 法就等价 DR 法、/p>
关于麦克默瑞提克
Micromeritics 是提供表征颗粒、粉体和多孔材料的物理性能、化学活性和流动性的全球高性能设备生产商。我们能够提供一系列行业前沿的技术,包括比重密度法、吸附、动态化学吸附、压汞技术、粉末流变技术、催化剂活性检测和粒径测定、/p>
公司在美国、英国和西班牙均设立了研发和生产基地,并在美洲、欧洲和亚洲设有直销和服务业务。Micromeritics 的产品是全球具有创新力的知名企业、政府和学术机构旗下 10,000 多个实验室的优选仪器。我们拥有世界级的科学家队伍和响应迅速的支持团队,他们能够将 Micromeritics 技术应用于各种要求严苛的应用中,助力客户取得成功、/p>