大昌华嘉科学仪器?/p>
白金会员
已认?/p>
随着孔隙的增加或者粒径的减小,粉末的比表面积(单位质量的表面积)会增加。通过BET理论可以从吸附等温曲线中获得比表面积(Brunauer-Emmett-Teller 理论: 多分子层吸附理论) ,该理论遵循以下3个假设:
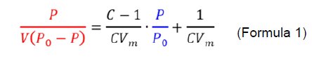
对于II IV型等温线,在BET公式(公?)中 p/p0?.05-0.3 之间(形成单分子层的相对压力范?的曲线为一条直线 由BET曲线中的斜率和截距分别可以得到C常数和单层吸附量(Vm)。单层吸附量 (cm3(STP) g-1)表示转化成标准状态下的覆盖所有固体表面的气体分子体积 BET比表面积是通过单层吸附层上的吸附质分子的截面积乘以吸附量转化的覆盖分子数,计算得到?公式 2) 吸附截面取决于吸附剂和吸附质之间的相互作用和吸附温度。ς0.162 nm2一般用于N2分子截面积、/p>
Starting adsorption on the adsorption site on the solid surface
在固体表面的吸附位点开始吸陃/p>
First and second layers and adsorbed molecules form multimolecular layers
第一层,第二层和被吸附的分子形成多分子层

BET理论:3个假讽/p>
span style="font:9px 'Times New Roman'">表面能均一
①span style="font:9px 'Times New Roman'">吸附分子之间无相互作?/p>
②span style="font:9px 'Times New Roman'">第二层和所有高层的吸附能等于吸附剂的冷凝能

V:平衡压力下的吸附量
Vm :单层吸附野/p>
相关产品
更多
相关文章
更多