手机片img class="sj_xl" src="//www.znpla.com/show/dons/v2images/xia.png"/>

扫一扫,手机访问

关于我们 加入收藏

安东帕中囼/p>

10 平/span>高级会员

已认?/p>

拨打电话
获取底价
提交后,商家将派代表为您专人服务
立即发?/a>
当前位置9/div> 安东帔/a>> 公司动?/a>>

行业应用丨小 X 射线散射法测定多孔材料的比表面积

行业应用丨小 X 射线散射法测定多孔材料的比表面积

小角 X 射线散射?/strong>


比表面积是多孔材料的关键参数之一,因此快速可靠的测定,对于开发此类材料以及在生产过程中的质量控制非常重要。在这里,我们展示了如何将小 X 射线散射(SAXS)作为一种快速可靠的方法来确定介孔可控孔玻璃(CPG)样品的比表面积。所得的 SAXS 结果与物理气体(Ar 87K)吸附所得的比表面积非常一致、/p>

1.jpg

多孔材料的应用非常广泛。其独特的性能,可用于能源储存、建筑材料、催化剂等行业 广泛使用的评估多孔材料表面积的标准方法是基于 Brunauer-Emmett-Teller (BET) 方法的气体(例如氮气或氩气)吸附分析。然而,这种方法存在一些局限性:

  • 样品制备时间镾/p>

  • 测量时间镾/p>

  • 仅适用于无孔和介孔/大孔材料

  • 表面积结果的准确性取决于使用正确的吸附剂

小角 X 射线散射 (SAXS) 是广泛应用于表征纳米材料尺寸、形状和更多结构特性方法、/p>

SAXS 具有几个优点9/p>

  • 无需样品制备

  • 一种非破坏性方泔/p>

  • 测试时间?/p>

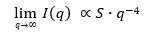
SAXS 确定表面积的理论基础 Porod 定律,该定律描述了散射强 I(q) 随着散射矢量 q 的逆四次幂逐渐向大散射角衰减。X 射线束照射的样品体积内的总表面积 S 是一个比例因子:

2.JPG

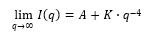
为了 SAXS 数据得到比表面积,应用主方程

3.JPG

其中包括确定常数背景 A Porod 常数 K、/p>

在实际中,用于确定质量比表面积(Sm)或体积比表面积(SV),有以下两种方法:

  • Invariant (K/Q) method 不变量法

  • Absolute-scale method 绝对标度泔/p>

本研究展示了使用 Anton Paar 的小 X 射线散射 SAXSpoint 5.0 仪器对可控孔玻璃粉末样品 SAXS 测试。测试的 SAXS 数据根据 ISO 208044 进行处理,以确定比表面积、/p>

实验

使用 Anton Paar SAXSpoint 5.0 SAXS/ WAXS/GISAXS 仪器测试多孔玻璃微珠 (CPG 可控的微孔玻 ERM-FD-121, BAM 获得) 。该仪器配备 Primux100 微焦 X 射线源(Cu Ka 辐射, λ = 0.154 nm) EIGER 2R 1M 探测器,该探测器还用于测量样品的透射率和获得绝对强度、/span>

SAXSpoint 5.0 06.jpg

?:配 Primux 100 微焦斑光源的 SAXSpoint 5.0 系统

样品被填充在 Heated/Cooled Sampler 的粉末样品池中。同样条件下测试空样品池以用于背景扣除、/span>

25 °C 下进 SAXS 测试,范围为 0.068 nm-1< q < 6.0 nm-1、/span>

样品 CPG FD-121 扣除背景后的一维散射曲线(如下 2 所示)。为了进一步解析数据, Porod 区域,如下图灰线所示;数据呈直线衰减,这表明不存在分形、/span>

4.jpg

2:可控孔玻璃 (CPG FD-121)扣除背景的 1D 散射国/p>

应用?nbsp;Invariant method 不变量和 Absolute-scale method 绝对强度两种方法。SAXS 测试得到的结果与使用 Ar (87K) 吸附得到的比表面积结果进行比较,如下 1 所示、/p>


_

CPG FD-121

Specific surface [m² g-1]

(Absolute-scale method(/p>

99.7 ± 0.2

Specific surface [m² g-1]

(Invariant method(/p>

114.8 ± 0.6

Specific surface [m² g-1]

(by Ar (87K) BET(/p>

98.6 ± 0.6

1:比表面积结枛/p>

Absolute-scale method ,SAXS 测定的质量比表面积与气体物理吸附的结果非常吻合。而应 Invariant method,SAXS 获得的比表面积结果略高,这可能是因为多分散颗粒或粒间孔隙度存在所导致、/p>


结论

通过这项研究,证明了 SAXS 是一种可靠且快速测定纳米多孔材料比表面积的方法。具有以下优点:

  • SAXS 不需要耗时的样品制备(如脱气),因此也避免了样品的任何变化

  • 每个样品的分析时间通常仅在几分钟内

  • 它独立于外部参数,例如在气体吸附中面临为样品选择合适的吸附气体的挑戗/p>





最新动?/p>更多

留言咨询
(我们会第一时间联系您)
留言类型9/div>
*姓名9/div>
*电话9/div>
*单位9/div>
Email9/div>
*留言内容9/div>
(请留下您的联系方式,以便工作人员及时与您联系!(/div>