步琦实验室设备贸易(上海)有限公号/p>
白金会员
已认?/p>

不同类型化合物应用的最佳条仵/strong>
现如今,Flash Prep HPLC 色谱已经成为许多分离应用的首选方式。就像我这种“厨房杀手”,黑暗料理界殿堂级人物,在做饭时,如果盐放多了都会不禁在想:是不是可以通过色谱分离的方式去除多余的盐?
然而,尽管这些分离技术是化学的基础,但它们仍然难以捉摸,因为没有通用的一种方法可以适用于所有的样品。不同行业研究或感兴趣的化合物是多样性的,这些化合物理化性质差异性很大。幸运的是,前人们已经通过多年的经验总结出了对不同分子类型化合物最有效的纯化条件。所以,如果您在进行样品分离时,对流动相或固定相以及检测器的选择感到迷茫时。或许本篇文章会对您有些许的启发、/p>
第一阶段是流动相:样品一定要可溶于待选溶剂;其次是固定相:对您的样品要有保留。有两种色谱类型适用于这里:正相(NP)色谱和反相(RP)色谱。这两大色谱类型也是很多小伙伴在日常科研当中用到最广泛的。接下来是需要确定样品溶解度,判断是否可以液体进样?如果不可以,可以考虑固体上样的方式(Flash色谱)。最后一步是检测,包括需要了解样品是否具有紫外吸收,这将决定哪种检测方法对特定化合物最有效,之前“小步”同学也有给大家分享过关于检测器的选择,没有看过的同学可以点击这里,为了帮助快速进 Flash Prep HPLC 应用的开发,“小步”同学给出一些化合物类型适用的最佳条件、/p>
蛋白质和多肽
蛋白质由氨基酸组成,在溶液中形成与它们的生物功能密切相关的高度有组织三维结构。多肽则是蛋白质的小版本,通常由含 2-50 个氨基酸组成、/p>

就流动相而言,它们大多溶于水。反相(RP)色谱法适用于多肽或更小、更稳定的蛋白质,它们在纯化后会重新折叠。这需要含有较少极性溶剂的水混合物,如乙腈、异丙醇或乙醇。乙腈是最受欢迎的溶剂,因为它易挥发,很容易从收集的馏分中去除,除此之外,它还具有低粘度和低紫外线吸收等特点。对于多肽的分离,传统的三氟乙酸(TFA)被添加到流动相来进行pH控制(缓冲)和离子配?与相反带电的离子团形成复合物以增强保?、/p>
固定相是根据样品的分子量和极性进行选择。Prep HPLC 色谱法由于其可以搭配更小粒径尺寸色谱柱(柱效更高),所以成为分离极性相近或相似或化合物的首选纯化方法。对 Prep HPLC 来讲,样品进样方式必须为液体进样。所以对于疏水性样品,使用低级性溶剂(乙腈),亲水性样品使用乙醇或丙醇最佳。对于高度亲水的样品,可以适当的加入微量二甲基亚砜(DMSO)或二甲基甲酰胺(DMF)提高整体溶解能力,这使得样品可在最小溶剂体积内溶解,最大化减小溶剂扩散现象。如果需要使用固体上样,则更适用 Flash 色谱、/p>
紫外检测器通常作为检测蛋白质或多肽最常用的方式,检测波长一般设 280nm。这一波长已被证明特别有用,因为可以直接从蛋白质序列当中预 280nm 处的摩尔吸收系数(消光系数),当然,这只适用于含有色氨酸或酪氨酸残基的蛋白质。如果芳香族氨基酸含量低或没有芳香族氨基酸,则推荐使 205nm 作为检测波长、/p>
天然产物/提取?/strong>
活的有机体,如植物、微生物或动物,通过初级或次级代谢途径产生这些代谢产物。初级代谢产物是生物体生长所必需的,次级代谢产物是初级代谢产物的最终产物、/p>

流动相的选择基于提取时所使用的溶剂类型,如果采用正相色谱(NP)纯化,则使用正己烷,石油醚,二氯甲烷(DCM),乙酸乙酯(EtAc),或其他与水不互溶的溶剂;反相色谱(RP)则采用乙醇和水进行提取,分离纯化流动相一般为甲醇/水或乙腈/水。对于固定相来说,所有的 NP(硅胶,二醇基,氨基等) RP(C18 等)均可被使用、/p>
天然产物的样品成分通常非常复杂,所以往往需要采用组合分离技术:通过 Flash 色谱进行前期预处理粗分,再经 Prep 色谱对样品进行单体化合物分离、/p>
样品的载样量取决于天然产物提取物的体积,通常来讲提取物量都比较大。样品可以通过注射器或注射泵的方式注入 Flash 色谱柱中,如果样品体积过大,则建议采取固体上样的方式,因为如果溶剂体积过大会导致色谱峰谱带变宽,进而影响分辨率。Flash 色谱预分离的样品后续可以 Prep 上进一步纯化、/p>
天然产物样品的多样性和未知性决定了其被检测的方法。通常来讲,蒸发光散射检测器(ELSD)与紫外检测器(UV)的组合可以最大化保证样品检测的全面性。对 NP 色谱,建议使用二极管阵列检测器(DAD)来对样品进行检测、/p>
碳水化合?/strong>
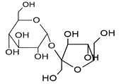
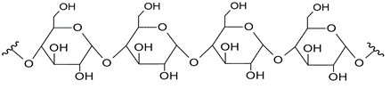
碳水化合物可分为低分子量(单糖和双?和更复杂的重碳水化合?寡糖和多?、/p>

单糖(葡萄糖(/strong>

二糖(蔗糕/strong>(/p>

多糖(直链淀粉)
碳水化合物都是亲水性的,流动相一般选择?甲醇或水/乙腈进行搭配作为洗脱剂。在 RP 条件下,使用 C18 填料作为固定相可以降低高极性碳水化合物的保留。相反,氨基柱已经被证明是最适合作为分离碳水化合物的固定相。因为它不像 C18 那么非极性、/p>
上样方式方面,碳水化合物 RP 条件下通常是可溶的,所以一般采用液体进样的方式进行上样、/p>
碳水化合物和脂类一样,缺乏发色囡目前,ELSD 是主要的检测方法。传统上使用示差折光检测器(RI),低波长 UV (190-205 nm),并通过薄层色谱进行纯化后分析、/p>
小分子药?/strong>
这些化合物被定义为有机化合物,通常通过有机合成的方式获得。具有基本化学结构的小分子,分子量一般在 0.1-1kDA 之间、/p>
Flash Prep HPLC 通常都可以在 NP RP 条件下条件。小分子药物的目标通常是使 RP,因为对它们来说水溶性是至关重要的。NP 只能 RP 不可能的情况下使用或后续通过结构修饰等方式使其能具有更高的成药性、/p>
下表为正相色谱(NP)与反相色谱(RP)的对比9/strong>

上样方式由样品的极性和纯化方式有关,高压不锈钢柱和 Flash 色谱柱可以液体和固体上样(只 Flash 色谱使用)。液体注射进样是首选的方式,但是如果样品在方法的起始流动相梯度时溶解性不好,则需要采取固体上样、/p>
检测器方面,紫外检测器依然是首选,因为大多数的小分子药物都具有紫外吸收。然而,在某些情况下,如果化合物紫外吸收较弱,那 NP 色谱所使用的有机溶剂会给其吸收带来干扰,进而影响实验人员对样品分离效果的判断。其他样品可能会是半挥发性的。基于此,在室温条件下使 ELSD 检测器是最适的,因为高温条件下有机试剂的挥发顺带将化合物带走的情况时有发生,这会导致样品检测灵敏度降低、/p>
维生?脂质
由于维生?脂质的性质多样性,以及篇幅原因。我们后续会专门出一期关于它们的文章,有相关研究的小伙伴可以持续关注哦、/p>
好了,现在您应该知道了不同类型化合物需要使用哪些色谱类型应用方法了吧。希望这篇文章能对您接下来的实验有所帮助?/p>
我是“小步”同学,我们下期再见?/p>
最新动?/p>更多![]()