华璞恒创仪器科技(北京)有限公司
高级会员
已认?/p>
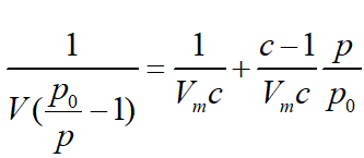
BET方程如下9/span>

其中V——吸附气体体积;
Vm——单层吸附气体容量;
c——常数,与吸附剂、吸附质之间相互作用力有关;
p/p0——相对压力;
通过选择不同的压力点,可以算出其中Vm咋span style="color: rgb(0, 0, 0); margin: 0px; padding: 0px; outline: currentcolor none 0px; max-width: 100%; box-sizing: border-box !important; overflow-wrap: break-word !important; font-size: 15px; letter-spacing: 1px; background-color: rgb(243, 247, 252);">c、/span>
表面 S=am·nm·NA
其中am——氮气在77K温度下液态六方密堆积的氮分子截面积,数值为16.2×10-20m2:/span>
nm——层吸附容量(mol),nm=Vm/22.414:/span>
NA——Avogadro常数,数值为6.022×1023、/span>
上述方程就是BET多点法计算比表面积的公式、/span>
最初的BET是建立氮吸附Ⅱ类等温线上,其中B(一般在P/P0?.05附近)点位于单层吸附和多层吸附的分界点,吸附剂可以在P/P0大概0.05-0.3 (多层吸附过程)的范围内给出线性BET 图,继而计算出比表面值;和Ⅱ类曲线相似的Ⅳ同样存在拐点B,同样适用。如微孔曲线的Ⅰ曲线和其他曲线,不存在拐点B,理论上来讲,这种方法不是特别合适。但是目前没有更好的办法来表征样品的比表面积,从国家标准和行业标准来定义,依旧用BET来表征样品的比表面积。不过此时的比表面积可以理解为“表观比表面积”、/span>

一般材料,或者更多的是介孔材料,计算比表面积时,P/P0选点范围?.05-0.35,在此范围内选点满足线性拟合度大于0.999或?.9975(有些特殊样品,如制药),C值大?;对于特殊的微孔材料,P/P0选点范围?.005-0.2,在此范围内,线性拟合度大于0.999,C值大于零、/span>
单点BET & 多点BET & Langmuir
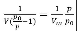
上述BET公式中,因为有两个未知数C和Vm,而最终需要的是Vm。当C值无穷大时,BET公式可简化为9/span>

一个点P/P0即可算出比表面积结果,此时即为单点BET,一般选点选择多点BET的最高点,如一个材料的P/P0选点范围?.05-0.3,即?.3为单点BET计算的选择点,一般单点BET结果会低于多点BET结果?nbsp;
对于微孔材料,Ⅰ类曲线,可以选择BET计算,选点范围一般在0.005-0.2。另外还可以选择Langmuir方法计算,因为对于Ⅰ类曲线,低压段的吸附过程和单层吸附过程更加相似,其选点范围一般在0.0001-0.1范围内。两种方法选点范围都要保证线性拟合度大于0.999、/span>
相关产品
更多