苏州利电新能检测设备有限公号/p>
高级会员
已认?/p>
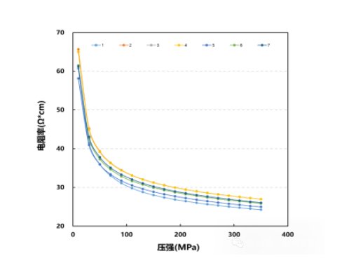
随着商业化动力电池的迅猛发展,对电芯生产的一致性要求也越来越严苛。粉末材料作为制作电芯的重要成分,其稳定性要求也相应提高。电阻率是粉末样品重要的一个参数,也是电芯厂家最为关注的参数之一,长期监控粉末材料的电阻率变化有利于观察样品受环境影响情况,实时了解样品的稳定性。我们使?/span>FDM-1650产品,每天对磷酸铁锂的电阻率数据进行收集,通过一段时间的数据对比,可以了解到磷酸铁锂短期内受环境影响情况,实现对样品的稳定性监控、/span>

Ø测试方案9/span>
测试样品:磷酸铁锂;
测试原理:两探针模式:/span>
测试参数:实验面?/span>132.73mm2,样品量0.6g,采用变压模式进行测试,测试压强范围?0-350MPa,压强步?0MPa,保压时?0S、/span>
测试频次:每天测试一组,连续测试7天、/span>
Ø测试结果分析9/span>

国/span>1磷酸铁锂一周电阻率监控
?/span>1磷酸铁锂一周监?/span>

如上图表所示,磷酸铁锂的电阻率在测试中随着压强的增大而减小,350MPa时电阻率约为25.9942 Ω*cm(平均值)。在为期7天的测试中,样品电阻率变化趋势一致,计算电阻率的COV,COV值小?.5%、/span>
由此可知,磷酸铁锂粉末在短期内稳定性好、/span>
Ø结论
通过采用FDM-1650系列产品对磷酸铁锂粉末进行电阻率测试,观察磷酸铁锂粉末在七天测试中电阻率的变化情况,从数据对比可以推断出磷酸铁锂粉末的稳定性、/span>FDM-1650系列产品能够实时测试粉末材料电阻率,除了监测单一样品的长期稳定性,还可以用于测试不同样品以区分样品种类或同一样品不同改性状态,助力研发、/span>
相关文章
更多
技术文竟/p>2025-01-10
技术文竟/p>2025-01-02
技术文竟/p>2024-12-26
技术文竟/p>2024-12-20