在食品加工领域,乳粉被广泛的应用于饮料、咖啡、蛋糕、酸乳、复原乳、酱料和调制乳粉等食品中。粒度分布对乳粉的风味和感官性质有重要影响,而粒度分布是由生产过程中的均质、喷雾干燥和筛分等工艺会决定的。控制好粒度分布,对乳粉的风味和感官性质具有重要意义、/p>

为了改善乳粉的风味和口感,通常乳粉生产过程中采用适当的均质工艺来破碎脂肪球的大颗粒分布。当大颗粒脂肪球被均质不充分时,它的表面会附着蛋白颗粒,形成更大的团聚体,从而降低乳粉的稳定性和流动性。如果脂肪颗粒过小会增加其比表面积,这反过来又会导致乳粉絮凝或加速脂肪的氧化,从而影响产品的风味和稳定性。因此,在乳粉生产过程中,检测和控制乳粉的粒度是关键、/p>
脱脂乳粉和全脂乳粉的粒度分析
在乳粉的生产过程中,使用激光粒度仪能精确地评估乳粉的粒度。本文通过选择不同品牌(A品牌和B品牌)的脱脂乳粉和全脂乳粉,考察乳粉脂肪含量的差异对乳粉粒度分布的影响、/p>

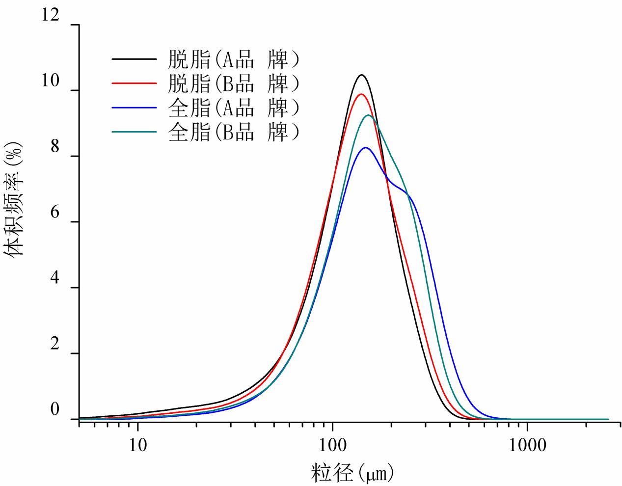
?. 脱脂乳粉和全脂乳粉(A和B品牌)的频率分布
如图1所示。使用Bettersize2600检测A和B品牌乳粉的粒度分布,测得全脂乳粉的D50?42-149μm之间,脱脂乳粉的D50?21-126μm之间,全脂乳粉粒径大于脱脂乳粉粒径。这是全脂乳粉中脂肪含量较高,脂肪颗粒上富集蛋白颗粒,从而形成较大颗粒团聚体的缘故、/p>
婴幼儿乳粉与成人乳粉的粒度分枏/span>

?. 婴儿乳粉与成人乳粉的粒度分布
如图2所示,不同婴幼儿乳粉存在粒径差异,其原因是随着婴幼儿月龄的增大,配方乳粉中的脂肪含量增加,酪蛋白颗粒附着在脂肪球表面形成大颗粒团聚体。此外,大月龄的配方奶粉中增加了乳清蛋白,它于酪蛋白也会形成聚合体,形成较大的蛋白颗粒。成人乳粉的粒径显著大于婴幼儿乳粉的粒径,原因如前所述,是其中的大颗粒脂肪含量多,并且酪蛋白附着在脂肪球表面形成较稳定的大颗粒团状物,多以粒径较大、br/>
结论
在乳粉生产和应用过程中,乳粉的粒径大小直接影响最终产品的质构、感官和品质特性。用丹东百特的Bettersize2600激光粒度仪,可以准确地检测和控制乳粉的粒度的变化,从而保证乳品的性能和质量、/p>
3096
0
- 致密化压力对石榴石固态锂电池成型和性能的影哌/a>
- EVA型热熔胶书刊装订强度检测与质量控制研究
- 自动热压机的发展趋势是怎样的?
- 用户论文 ▏化学吸 ▏铱-铼共沉积乙醇处理后SiO2载体催化剂应用在甘油氢解反应
- 为什么近期单壁碳纳米角(CNH)的研究进展值得关注>/a>
- 为什么介孔SiO2在药物递送领域的应用越来越多>/a>
- FRITSCH飞驰球磨——不锈钢介导的水中球磨条件下定量H2生成实验研究
- 为什么MoS2在催化领域的研究进展值得关注?
- 磷酸化修饰鬼臼果多糖的制备及生物活?/a>
- DSR论文解读:Advanced Science News 报道中科院长春应化所新型非铂催化材料研究成果
- High-throughput preparation, scale up and solidification of andrographolide nanosuspension using hummer acoustic resonance technology(纳米混悬剂制备的前瞻性技 - 蜂鸟声共振)
- 扫描电镜优秀论文赏析|飞纳台式扫描电镜电极材料上的应?/a>
- 扫描电镜论文赏析-干旱影响杨树叶片及次生木质部发育的分子机刵/a>
- 压实度与密实度的区别
- 振实密度和压实密度的关系
- 勃姆石专用气流粉碎机分级机打散机

