色浆的好坏主要是由该色浆的研磨颜料颗粒决定的,在色浆的生产过程中,颜料颗粒分散的状态直接影响着色浆的分散及贮存稳定性。同时颜料在很大程度上影响到UV固化体系的固化时间。由于颜料能够吸收一部分辐射能量,这将影响光引发剂对于光的吸收,进而影响形成的自由基浓度,结果会降低颜料体系的固化速率、/span>
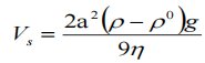
水性无树脂UV喷墨色浆的颜料含量应尽量合适,其加入量只要能够达到墨水对材质的着色和遮盖力即可,这样可以最大程度地降低色浆在墨水中的应用量,减小色浆在墨水中的消极作用。经典的斯托克斯公式同样适用于颜料研磨体系中,我们可以有根据Stokes公式得出颜料子发生沉降的速度与体系中的粘度正好为反比、/span>

公式中,Vs代表粒子的沉降速度+/span>m/s:/span>a为体系粒子的半径+/span>m:/span>g为重力加速度(9.8m/s2):/span>η为色浆粘度,Pa·s:/span>ρ+/span>ρ0分别表示颗粒密度和分散介质密?/span>kg/cm3。由公式可以得出色浆体系的粘度随着颜料含量的增加而增大,因此增加颜料含量可以降低颜料颗粒的沉降速度,粒子间的絮凝问题也会减小,所以颜料量的合理增加对色浆的贮存稳定性是有利的。但是,如果颜料含量过高,色浆体系中颜料粒子之间的距离会变小,分散剂的稳定作用不能打破粒子间的吸引力,这样颜料颗粒会更易发生絮凝现象,从而使颗粒变大易发生沉淀,体系也更容易发生分层。颜料含量增加后,颜料颗粒的润湿效果较差,同时颜料颗粒的分散性变差,则颜料颗粒大小不均,不能达到理想的研磨效果、/span>
非均匀性的颜料颗粒表面裸露部分彼此团聚,以此增加水性无树脂UV色浆的粘度,所以为了把颜料研磨得更均匀,最重要的就是选取粒径分布均匀的锆珠(例如赛诺锆珠)研磨分散,这样出来的产品粒径也均匀。颜料含量和颜料的生产工艺十分重要,其直接影响着研磨色浆的分散稳定性能、/span>
1527
0
- 致密化压力对石榴石固态锂电池成型和性能的影哌/a>
- EVA型热熔胶书刊装订强度检测与质量控制研究
- 自动热压机的发展趋势是怎样的?
- 用户论文 ▏化学吸 ▏铱-铼共沉积乙醇处理后SiO2载体催化剂应用在甘油氢解反应
- 为什么近期单壁碳纳米角(CNH)的研究进展值得关注>/a>
- 为什么介孔SiO2在药物递送领域的应用越来越多>/a>
- FRITSCH飞驰球磨——不锈钢介导的水中球磨条件下定量H2生成实验研究
- 为什么MoS2在催化领域的研究进展值得关注?
- 磷酸化修饰鬼臼果多糖的制备及生物活?/a>
- DSR论文解读:Advanced Science News 报道中科院长春应化所新型非铂催化材料研究成果
- High-throughput preparation, scale up and solidification of andrographolide nanosuspension using hummer acoustic resonance technology(纳米混悬剂制备的前瞻性技 - 蜂鸟声共振)
- 扫描电镜优秀论文赏析|飞纳台式扫描电镜电极材料上的应?/a>
- 扫描电镜论文赏析-干旱影响杨树叶片及次生木质部发育的分子机刵/a>
- 压实度与密实度的区别
- 振实密度和压实密度的关系
- 勃姆石专用气流粉碎机分级机打散机

