磁性高分子微球是近年发展起来的一种新型磁性材料,是通过适当方法将磁性无机粒子与有机高分子结合形成的具有一定磁性及特殊结构的复合微球。在生物医学、细胞学和分离工程等诸多领域得到广泛的应用、/p>

本文使用BeNano 90 Zeta纳米粒度及Zeta电位分析仪表征了一个磁性微球的粒径和Zeta电位在不同pH条件下随温度的变化、/p>
实验部分
不同pH值环境样品配?/strong>
测试的磁性微球母液为一个商品化微球,其微球表面共聚或者化学键修饰了未知基团、/p>
将磁性微球母液用纯净水稀释,其pH值检测为6。取一定量磁性微球用HCl溶液稀释至pH=3;另取一定量磁性微球用NaOH溶液稀释至pH=9,得到三个不同pH的磁性微球分散液、/p>
将pH=3??的样品分别放入PS样品池及毛细管电极中,设置起始温度为25℃,终止温度?0℃,温度间隔?℃的升温粒径及电位温度趋势测试。设置起始温度为25℃,终止温度?℃,温度间隔?℃的降温粒径及电位温度趋势测试、/p>
结果与讨讹/span>


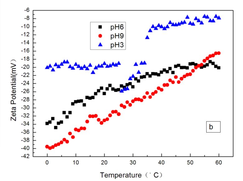
?. 不同pH=3??环境中磁性微球在不同温度下的粒径(a)和Zeta电位曲线(b(/span>
从图1可以看出,在25℃时三个样品的Z-均径均为200nm左右,偏差不大。在三个pH环境下,颗粒电位均为负值,说明颗粒携带负电荷,?5℃条件下pH越高,Zeta电位绝对值越大、/p>
在检测的温度区间内,pH=6?的环境中,磁性微球粒径随温度的变化不大,说明体系在这个温度范围内的分散度不变,相对稳定。而在pH=3的环境中,粒径随温度敏感度较高,?5℃附近粒径最小,降温和升温都刺激体系的粒径增大,说明体系中产生了团聚物、/p>
在所测的温度范围内,整体而言,同样的温度下,pH=6?环境中体系的Zeta电位绝对值高于pH=3的环境。较高的Zeta电位可以提供较强的颗粒间相互作用力,这增加了体系的稳定性,有效降低外界刺激产生大颗粒团聚物的可能性、/p>

?. pH=3下磁性微球在不同温度下的粒径和Zeta电位曲线
从图2可以看到温度的升高或降低Z-均径均表现为增大的趋势,尤其是在升温过程。当高于34℃时,Zeta电位发生突变,由大约-20mv水平迅速降到约-10mv水平,同时在此温度区间粒径也迅速增大。这也进一步说明可以通过Zeta电位判断体系的稳定性,当Zeta电位降低时,则体系处于不稳定状态,颗粒容易团聚、/p>
结论
结果表明,磁性微球在pH=6?时,其体系的Zeta电位绝对值相对较高,体系处于相对稳定状态,粒径随温度波动不大。而当pH=3时其体系的稳定性对温度要求较为苛刻。通过观察可以发现,不同的pH和温度环境中,相对而言Zeta电位绝对值超?0 mv体系稳定性较高、br/>
1884
1
- 致密化压力对石榴石固态锂电池成型和性能的影哌/a>
- EVA型热熔胶书刊装订强度检测与质量控制研究
- 自动热压机的发展趋势是怎样的?
- 用户论文 ▏化学吸 ▏铱-铼共沉积乙醇处理后SiO2载体催化剂应用在甘油氢解反应
- 为什么近期单壁碳纳米角(CNH)的研究进展值得关注>/a>
- 为什么介孔SiO2在药物递送领域的应用越来越多>/a>
- FRITSCH飞驰球磨——不锈钢介导的水中球磨条件下定量H2生成实验研究
- 为什么MoS2在催化领域的研究进展值得关注?
- 磷酸化修饰鬼臼果多糖的制备及生物活?/a>
- DSR论文解读:Advanced Science News 报道中科院长春应化所新型非铂催化材料研究成果
- High-throughput preparation, scale up and solidification of andrographolide nanosuspension using hummer acoustic resonance technology(纳米混悬剂制备的前瞻性技 - 蜂鸟声共振)
- 扫描电镜优秀论文赏析|飞纳台式扫描电镜电极材料上的应?/a>
- 扫描电镜论文赏析-干旱影响杨树叶片及次生木质部发育的分子机刵/a>
- 压实度与密实度的区别
- 振实密度和压实密度的关系
- 勃姆石专用气流粉碎机分级机打散机

