
转头的k倻/span>
转头的k值(又称k因子或k系数)用以衡量转头的沉淀效率。所有的离心机厂家在转头出厂时都计算了制备型转头的k值,转头k值通过在转头运行至最高转速、离心管装满样品时计算得到的,其计算公式如下9/p>
?(/p>

由于
?(/p>
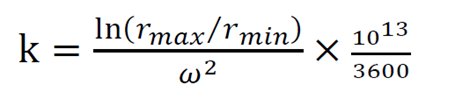
将公式(2)代入公式(1)可得到以下转头k 值的计算公式9/p>
(3)
由上得出转头k值是与转头的最高转逞/span>咋strong>形状有关、/p>
最高转速完全一样的转头,离心管与轴的角度越小,也就是rmax/rmin 越小,k值就越小。所以制备型超速离心机的四类转头的k值如下:水平转头k > 定角转头k > 近垂直转头k > 垂直转头k值、/p>
如果在离心时,转头没有运行到最高转速,那么rpm就不能使用最高转速的k值,必须将转头实际运行转速代入公式(3)来计算实际的k值、/p>
(4)
离心时间
已知某转头k值和颗粒的沉降系数,可以计算出用该转头分离颗粒时所需要的时间。其公式如下9/p>
?(/p>

由公式(5)可以看出,转头k值是评估转头离心效率的一个指标,对于沉淀同一颗粒,转头k值越小,颗粒沉淀所需要的时间就越短,也就是离心效率越高;反之,转头k值越大,颗粒沉淀所需要的时间就越长,转头的离心效率越低、/p>
举例
分离沉降系数?5S的蛋白,如果用的转头k值是15,那么沉降该蛋白颗粒所需要的时间是:
t = k/s = 15/15 = 1 小时
如果用的转头k值是18,那么沉降所需的时间是9/p>
t = k/s = 18/15 = 1.2 小时
已知一个转头k值和沉淀所需要的时间,如果用另一个转头来沉淀同样的颗粒,可以用以下公式来计算需要沉淀的时间:
?(/p>

如果该转头不是在最高转速下运行,或者样品没有装满,又或者换用了其他更小的离心管(例如g-MAX 管等),相应k值都会发生改变,相应离心所需的时间也需要重新计算、/p>
综上所?/span>
k因子已经综合考虑了离心的转速、相对离心力以及样品在最小半径和最大半径等位置的受力改变情况,还有颗粒沉降的行程等因素,是计算离心时间、评价转头离心效率的最准确和最重要指标、/p>

977
        0
       
     
     - EVA型热熔胶书刊装订强度检测与质量控制研究
 - 自动热压机的发展趋势是怎样的?
 - 用户论文 ▏化学吸 ▏铱-铼共沉积乙醇处理后SiO2载体催化剂应用在甘油氢解反应
 - 为什么近期单壁碳纳米角(CNH)的研究进展值得关注>/a>
 - 为什么介孔SiO2在药物递送领域的应用越来越多>/a>
 - FRITSCH飞驰球磨——不锈钢介导的水中球磨条件下定量H2生成实验研究
 - 为什么MoS2在催化领域的研究进展值得关注?
 - 飞纳台式扫描电镜助力纳米纤维在心血管组织再生中的研穵/a>
 
- DSR论文解读:Advanced Science News 报道中科院长春应化所新型非铂催化材料研究成果
 - High-throughput preparation, scale up and solidification of andrographolide nanosuspension using hummer acoustic resonance technology(纳米混悬剂制备的前瞻性技 - 蜂鸟声共振)
 - 扫描电镜优秀论文赏析|飞纳台式扫描电镜电极材料上的应?/a>
 - 扫描电镜论文赏析-干旱影响杨树叶片及次生木质部发育的分子机刵/a>
 - 压实度与密实度的区别
 - 振实密度和压实密度的关系
 - 勃姆石专用气流粉碎机分级机打散机
 - 国产新品泡沫起升仪可替代德国format
 
     
    
