展商登录
帐号
密码
验证
注册
010-82930964
微博
微信
会员体系
|
广告服务
|
中国粉体罐/a>
全部产品分类
首页
参展厂商
展商动?/a>
技术文竟/a>
全部产品
快速采购通道
·
粉碎
?a href="http://show.cnpowder.com.cn/fenji/">分级?a href="//www.znpla.com/show/baozhuang/">包装设备
粉碎设备
气流粉碎朹/a>
振动研磨朹/a>
球磨朹/a>
研磨朹/a>
砂磨朹/a>
搅拌?/a>
破碎朹/a>
雷蒙?/a>
冷冻粉碎朹/a>
冲击?/a>
磨粉朹/a>
粉体生产纾/a>
其它粉碎设备
移动破碎竘/a>
立式?/a>
环辊?/a>
研磨系统成套
对辊?/a>
锤式粉碎朹/a>
切割朹/a>
磨抛朹/a>
制砂朹/a>
机械整形
实验室粉碎设夆/a>
分级设备
气流分级朹/a>
振动筚/a>
旋振筚/a>
分样筚/a>
标准筚/a>
直线筚/a>
旋流?/a>
其他分级设备
包装设备
真空包装
粉体包装设备
大袋包装设备
自动码垛系统
称重配料生产纾/a>
粉体包装秣/a>
称重仪表
称重传感?/a>
吨袋/吨包/阀口袋
推荐品牌
德国耐驰
浙江丰利
细川密克朖/a>
潍坊正远
桂林鸿程
上海益非亙/a>
·
粉体检测仪?/a>
检测仪?/a>
激光粒度仪
沉降式粒度仪
在线粒度?/a>
白度?/a>
密度?/a>
粘度讠/a>
筛分?/a>
粉末流动测试?/a>
粉体特性测试仪
比表面积测定?/a>
颗粒图像测试?/a>
计量设备
纳米粒度?/a>
zeta电位?/a>
其他测试设备
元素分析?/a>
蒸汽吸附?/a>
化学吸附?/a>
色谱?/a>
压汞?/a>
接触角测量仪
高压吸附?/a>
物理吸附?/a>
图像粒度?/a>
孔径分析?/a>
热分析仪
原子力显微镜
颗粒计数?/a>
表面张力?/a>
大气颗粒物监测仪
水分测定?/a>
微波消解?/a>
耗材配件
光度讠/a>
光谱检测分析仪
质谱检测分析仪
扫描电镜
标准物质
电阻率测定仪
不溶性微粒检测仪
X射线粉末衍射?/a>
竞争性吸附仪
浓度分析?/a>
溅射?/a>
硬度讠/a>
等离子清洗仪
澄明度检测仪
稳定性分析仪
粉末电阻率仪
粉末压实密度?/a>
推荐品牌
丹东百特
珠海欧美兊/a>
济南微纳
德国Fritsch
大昌华嘉
成都精新粉体
·
干燥
?a href="//www.znpla.com/show/hunhe/">混合?a href="//www.znpla.com/show/shusong/">输送设夆/a>
干燥设备
干燥箰/a>
热风炈/a>
喷雾干燥朹/a>
沸腾干燥朹/a>
盘式干燥朹/a>
气流干燥设备
带式干燥设备
箱式干燥设备
流化床干燥设夆/a>
滚筒刮板干燥朹/a>
空心桨叶干燥朹/a>
减压干燥朹/a>
旋转闪蒸干燥朹/a>
微波低温干燥设备
微波工业加热干燥设备
制粒干燥设备
烘干朹/a>
真空干燥朹/a>
其他干燥设备
连续工艺干燥朹/a>
冷冻干燥朹/a>
混合设备
混合朹/a>
捏合朹/a>
混料朹/a>
分散朹/a>
均质朹/a>
搅拌朹/a>
干粉砂浆生产纾/a>
粉体改性机
乳化朹/a>
反应釛/a>
融合球化
输送设夆/a>
真空输送设夆/a>
气力输送设夆/a>
输送机
矿业输送设夆/a>
传动装置
压缩朹/a>
加料朹/a>
输送带
粉体软连?/a>
管链输送机
螺旋输送机
料位讠/a>
拆包朹/a>
开袋站
工业软管
料仓
卸料?/a>
推荐品牌
常州天马粉体
扬州申克
上海威泽尓/a>
无锡天阳干燥
燕山中岛
卡博莱特
·
除尘
?a href="//www.znpla.com/show/xuankuang/">选矿?a href="//www.znpla.com/show/chengxing/">成型设备
除尘设备
水膜除尘装置
湿式除尘装置
旋风类除尘装?/a>
过滤式除尘装?/a>
脱硫水浴除尘装置
组合式除尘装?/a>
重力与惯性力除尘装置
脱硫除尘设备
各种单机除尘?/a>
袋式除尘装置及配仵/a>
静电除尘装置及配仵/a>
其他除尘设备
防粘阻燃抑爆装置
选矿设备
破碎设备
水力选矿设备
浮选设夆/a>
磁选设夆/a>
其他选矿设备
色选设夆/a>
振动洗矿朹/a>
振动下料朹/a>
酸洗装备
矿石分逈/a>
成型设备
造粒朹/a>
成球设备
3D打印设备
等静压机
压制设备
包衣朹/a>
挤出朹/a>
增密朹/a>
流延朹/a>
丝印朹/a>
推荐品牌
上海袋式除尘
苏州协昌环保
华特磁电
爱科昇振?/a>
浙江力普
·
分离过滤
?a href="//www.znpla.com/show/fuzhu/">辅助设备
分离过滤
压滤朹/a>
离心朹/a>
空分设备
过滤朹/a>
微孔过滤设备
萃取设备
过滤?/a>
过滤材料
其他分离设备
辅助设备
粉体输送泵
管道泴/a>
隔膜泴/a>
磁力泴/a>
蠕动泴/a>
增压泴/a>
真空泴/a>
计量泴/a>
离心泴/a>
柱塞泴/a>
螺杆泴/a>
罗茨泴/a>
启动阀
放料阀
粉体专用阀
流量控制阀
电磁阀
调节阀
换向阀
气动球阀
气动蝶阀
闸阀
截止阀
止回阀
挡板阀
释放阀
防爆阀
隔膜阀
推荐品牌
·
金属
?a href="//www.znpla.com/show/feijinshu/">非金属粉体材斘/a>
金属粉体
还原铁粉
锌粉
银粉
铜粉
镍粉
硒粉
铝粉
铝银浅/a>
合金粉体
其它金属粈/a>
非金属粉佒/a>
锂辉矲/a>
珍珠?/a>
硅藻圞/a>
碳酸钘/a>
电气矲/a>
冰洲矲/a>
水镁矲/a>
透闪矲/a>
高岭圞/a>
云母
长石
麦饭矲/a>
重晶矲/a>
石英
萤石
沸石
膨润圞/a>
硅灰矲/a>
滑石
石墨
硫矿
石棉
蛭石
石灰矲/a>
石膏矾/a>
其他非金属矿?/a>
锆英粈/a>
蓝晶矲/a>
重质碳酸钘/a>
普通石苰/a>
精致石英
高纯石英
熔融石英
硅微粈/a>
填充母粒
功能母粒
推荐品牌
·
研磨介质
?a href="//www.znpla.com/show/naimo/">耐磨材料
研磨介质
氧化锆球
氧化铝球
玛瑙琂/a>
刚玉琂/a>
钢球
碳化硅球
其他研磨介质
硅酸锆珠
锆铝复合珟/a>
耐磨材料
聚氨酯内?/a>
玛瑙罏/a>
陶瓷罏/a>
破碎机锤夳/a>
聚氨酯弹性体制品
球磨罏/a>
氧化铝砖
氧化锆砖
耐磨衬板
耐磨衬片
砂磨机配仵/a>
陶瓷制品
磨料
磨具
推荐品牌
广州柏励号/a>
青岛联瑞
浙江湖磨
阜新县伟成玛瑙厂
·
纳米材料
纳米材料
纳米材料
石墨?/a>
纳米二氧化硅
钛白粈/a>
纳米碳酸钘/a>
碳纳米管
锂电材料
富勒?/a>
碳纤绳/a>
炭粉
推荐品牌
上海海诺炭业
密友集团有限公司
墨西科技
·
粉体助剂
粉体助剂
分散剁/a>
助磨剁/a>
表面改性剂
表面活化剁/a>
浮选药剁/a>
起泡剁/a>
着色剂
固化剁/a>
增塑剁/a>
脱色剁/a>
热稳定剂
其它
粘结剁/a>
推荐品牌
首页
>>
网上粉体屔/a> >>
技术文竟/a>
技术文竟/span>
兰span style="color:#ff0000; font-size:14px; font-weight:bold;">8299
篆/span>
堆积密度概念
堆积密度又称填充密度(bulk density),是散粒材料在规定装填条件下单位体积的质量,因装填条件不同又分为松装密度和振实密度其表达公式为:ρb = m / (V?V开+V?V?ρb—实心颗粒或多孔颗粒的堆积密度,kg/m3;m—实心颗粒的质量或多孔颗粒固体的质量,kg;V固—实心颗粒所占的体积或多孔颗粒固体骨架部分所占的体积,m3,V开—多孔颗粒开口孔隙所占的体积,m3,V闭—多孔颗粒闭口孔隙所...
访问公司展台
进入产品中心
发表于:2021-11-09 访问量:
3804
来源9span class="font14">
北京海鑫瑞科技有限公司
气体置换法原理能否测定真密度
气体置换法真密度仪广泛用于分析固体和粉末样品,但却很少用这种方法来分析液体材料。这是因为测量原理是通过测量系统的压力来确定材料的体积并计算密度,而液体样品蒸发所产生的压力会降低测量精度,使得系统可能会较难达到平衡。蒸气压是指在密闭系统中达到气液平衡所产生的平衡压力。液体分子通过物理键(即范德华力)结合在一起。键合较弱的液体比键合较强、蒸气压较低的液体更容易产生蒸气,具有较高的蒸气压。而升高温度会导致蒸汽压增大。其实气...
访问公司展台
进入产品中心
发表于:2021-11-09 访问量:
1050
来源9span class="font14">
北京海鑫瑞科技有限公司
中试车间干法制粒朹/a>
中试车间干法制粒?nbsp; 干法制粒是指在不用润湿剂或液态粘合剂的条件下,将药粉末与辅料混匀直接压缩成较大片剂或片状物后,重新粉碎成所需大小颗粒的制粒方法。干法制粒机作为颗粒剂的主打成型设备,在药品生产应用过程中一般重点考虑成粒率、性状、异物、水分等质量指标,本文结合长期的干压生产实践对以上质量指标做一浅析。一、成粒率成粒率高是药品生产者一直追求的目标,想要使其达到最高,一是提高干膏粉的稳?..
访问公司展台
进入产品中心
发表于:2021-11-09 访问量:
1246
来源9span class="font14">
常州力马干燥科技有限公司
海绵透气率测试仪的用途及试验前准夆/a>
用途:空气透气率是多孔弹性材料最主要的性能指标之一,该指标的测试对于多孔材料产品生产过程质量保证、新产品的研发有着重要的意?符合最新国家标准《高聚物多孔弹性材料空气透气率测定》GB/T 10655-2003 本仪器中央处理器采用PLC进行采集数据并进行运算与控制,使用寿命与设备稳定得到很大的保证,并配?寸高清触目屏实现了一键操作。试验前?、准...
访问公司展台
进入产品中心
发表于:2021-11-09 访问量:
756
来源9span class="font14">
北京中科微纳精密仪器有限公司
热力学不相容诱导界面蛋白浓缩对水包油乳液的稳定作?/a>
引自:Stabilization of O/W emulsions via interfacial protein concentratinginduced by thermodynamic incompatibility between sarcoplasmic proteinsand xanthan gumFeifei Du 1 , Yue Qi 1 , Hongbing Huang, Peng Wang * ,...
访问公司展台
进入产品中心
发表于:2021-11-09 访问量:
1542
来源9span class="font14">
大昌华嘉科学仪器?/a>
高分辨率纳米粒度分析仪技术优势和技术特炸/a>
高分辨率纳米粒度分析仪技术优势和技术特点介绍毛细管流体分离(CHDF)技术是种高分辨的粒度分布(PSD)检测技术。毛细管流体分离技术(CHDF)用于测量粒径在5nm-3μm 范围内胶体的粒度分布(PSD)。毛细管流体分离(CHDF)技术是以洗脱液或载体流体在毛细管中携带颗粒顺流而下的形式发生的。大颗粒先于小颗粒退出分离毛细管。颗粒分离是由于洗脱物抛物线速度剖面(层流)、在毛细管内颗粒的尺寸排斥和胶体力的共同作用而发?..
访问公司展台
进入产品中心
发表于:2021-11-09 访问量:
1107
来源9span class="font14">
上海胤煌科技有限公司-伞棚灯、不溶性微粑/a>
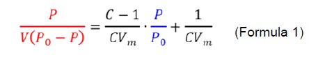
通过BET方法分析多孔二氧化硅的比表面积(四型等温吸脱附曲线)
随着孔隙的增加或者粒径的减小,粉末的比表面积(单位质量的表面积)会增加。通过BET理论可以从吸附等温曲线中获得比表面积(Brunauer-Emmett-Teller 理论: 多分子层吸附理论) ,该理论遵循以下3个假设:对于II IV型等温线,在BET公式(公?)中 p/p0?.05-0.3 之间(形成单分子层的相对压力范?的曲线为一条直线 由BET曲线中的斜率和截距分别可以得到C常数和单层吸附量(Vm...
访问公司展台
进入产品中心
发表于:2021-11-09 访问量:
4719
来源9span class="font14">
大昌华嘉科学仪器?/a>
Fritsch助力崔光磊研究员制备复合电解质材斘/a>
全固态锂电池的性能提升主要受限于无法同时解决固态电解质低的室温离子电导率和高的?固界面阻抗这两大瓶颈问题。鉴于此,中国科学院青岛生物能源与过程研究所崔光磊研究员课题组提出一种创新策略:利用SeS2作为造孔剂,借助行星式高能球磨机为制备工具之一,首次制备高电导率自支撑三维多孔硫化物Li6PS5Cl (p-LPSCl)渗流骨架。↑ 此图为FRITSCH制作的实验过程示意图崔光磊研究员课题组将一定比例的Li2S与P2S5...
访问公司展台
进入产品中心
发表于:2021-11-08 访问量:
1995
来源9span class="font14">
北京飞驰科学仪器有限公司
水平垂直燃烧测试仪制样要求及操作页面介绍
试样制作要求式样尺寸列表尺寸方法长宽?nbsp;每组(数量)mm水平?25±513.0±0.3小于13mm3根垂直法125±513.0±0.3小于13mm5?nbsp;操作界面介绍1.开机界面首界面有水平法、垂直法、自编辑三个试验方法,点响应的选择键进入相应的界面2.水平法界面(1)Ta——后面数值为施焰时间,可以直接点击数字进入键盘界面修改时间(2)“水平垂直燃烧仪-水平”这行字的位置同时还是复位键,点一下会...
访问公司展台
进入产品中心
发表于:2021-11-08 访问量:
761
来源9span class="font14">
北京中科微纳精密仪器有限公司
衣康酸振动流化床干燥?t/h
衣康酸振动流化床干燥?t/h振动流化床用于衣康酸的干燥,干燥处理能力?t/h,干燥温?00?15℃,可将初水?%的湿物料烘干?.8%一下。设备采用蒸汽加热方式,整个干燥系统采用流化床干燥器加冷却段相结合的形式,尾气处理系统主要由排风管道、旋风分离器、布袋除尘器及引风机组成,通过旋风分离器及布袋除尘器对尾气中的粉尘进行处理。流化床干燥机的下箱体分室制作,吹散段、干燥段与冷风段分隔;侧面安装有观察门,以便于清...
访问公司展台
进入产品中心
发表于:2021-11-08 访问量:
812
来源9span class="font14">
常州力马干燥科技有限公司
药品应用? | 药典要求及新药开发必备检测神?/a>
为制药检测保驾护航大昌华嘉科学仪器部专业提供分析仪器及设备,代理众多欧美先进品牌。多年来深耕于制药领域,在药品研制、生产、检验、使用等方面拥有独特的优势和技术。确保用户在开发工作流程的所有阶段快速、可靠、自信地做出决策。我们不仅为用户提供互补的物性及化学表征分析,同时依靠我们对应用的理解,让大家能够获得应用软件和应用案例的充分支持。原料药和药物制剂粒度分布检测,对于药物开发、药物配方选择以及药物产品质量保证至关重要?..
访问公司展台
进入产品中心
发表于:2021-11-08 访问量:
1045
来源9span class="font14">
大昌华嘉科学仪器?/a>
Y型三通球阀工作原理是什么?
Y型三通球阀的工作原理如下:Y型三通球阀有相互成120°?35°的通道,可满足不同的工况要求。主要用于介质流向的切换,能比相互垂直的两个通道三通球阀流阻更小。本阀结构紧凑,易于操作和维修,适用于水、酸和天然气等工作介质等。Y型三通球阀的阀座密封根据工况不同,可分别采用软密封、喷焊镍基合金(硬度大于HRC60)、超音速涂钨钴合金(硬度大于HRC70)及特种硬化材料等多种先进工艺,适用各种苛刻工况,软密封适用200℃以...
访问公司展台
进入产品中心
发表于:2021-11-05 访问量:
1814
来源9span class="font14">
上海宣久机械科技有限公司
压缩试验机的操作注意事项
压缩试验机是造纸企业、纸板生产企业、纸箱生产企业、纸箱使用企业以及质量监督检验部门理想的辅助试验工具。产品特性l 高精度称重传感器,滚珠丝杆传动,双导向轴l ARM处理器,24位进口模数转换器,提高了仪器的响应速度、测试精度。l 实时显示测试过程中的压力变化曲线图。l 超量程自动复位,保护精密传感器。l 突然断电数据保存功能,开机后断电前的数据保留并可继续测试。l 配合微机软件进行通讯(另购)。实验方? 用边压取...
访问公司展台
进入产品中心
发表于:2021-11-05 访问量:
1188
来源9span class="font14">
杭州研特科技有限公司
纸张耐破度测定仪的操作规稊/a>
纸张耐破度测定仪是根据国际通用型缪纶(Mullen)式原理制造,是检测纸张等薄片材料耐破强度的基本仪器,是科研单位、造纸厂家、包装行业、质检部门不可缺少的理想设备。实验方法:1 开? 接气,通过右侧气压调节阀将气压调?.15-0.23 按设定键,输入定量,选择单位,常规是kPa,或按需选择,设定好按退出键退出;4 放试样,按测试键,得出数?可按打印键打? 测试3次及以上,统计得出平均值,打印数据注意...
访问公司展台
进入产品中心
发表于:2021-11-05 访问量:
1513
来源9span class="font14">
杭州研特科技有限公司
水平垂直燃烧试验仪垂直法操作步骤
垂直法(10S 试验开始前先将施焰时间设置?0s?nbsp;?)按“调位”将本生灯移至式样一端,调节本生灯与式样之间的距离,使本生灯灯口处在式样自由一端的下方,通过“上”“下”按键调节式样的高度,使式样自由端位于本生灯灯口上方10mm位置。调整完成后,按“停止”键使本生灯退回到原位。(2)打开气路上的燃气总阀,使燃气进到设备内,按“燃气”然后调节“燃气流量”按“点火”点着本生灯(第一次使用因为气管里有空气,所?..
访问公司展台
进入产品中心
发表于:2021-11-05 访问量:
964
来源9span class="font14">
北京中科微纳精密仪器有限公司
水平垂直燃烧试验箱水平法操作步骤
操作步骤 下图:式样安装图 1.水平法(30S 试验开始前先将施焰时间设置?0s) ?)在式样一?5mm?00mm处,垂直于长轴划两条标线,在25mm标记的另一终端,使式样与纵轴平行,与横轴倾斜45度位置夹住式样。(2)开电源按“停止”,使本生灯退回到最左侧。(4)按“调位”将本生灯移至式样一端,旋开本生灯支架及式样支架滑块上的锁紧螺丝,调节本...
访问公司展台
进入产品中心
发表于:2021-11-04 访问量:
965
来源9span class="font14">
北京中科微纳精密仪器有限公司
使用BeNano检测高浓度医用脂肪乳的Zeta电位
?. 不同浓度下的医用脂肪乳高浓度样品的Zeta电位测试一直是用户的关注点,而如何阐释测试结果也是困惑用户的问题之一。颗粒体系的Zeta电位取决于颗粒表面的化学组成和溶液环境,例如pH,盐的种类和浓度,表面活性剂等等添加物的种类和含量。在一个稀释的浓度下,Zeta电位和颗粒物的含量之间没有必然联系,然而当体系浓度超过一个临界浓度时,需要考虑到颗粒所携带的电荷对于环境的贡献、颗粒之间的相互作用力等等因素对于测试结果的...
访问公司展台
进入产品中心
发表于:2021-11-04 访问量:
1875
来源9span class="font14">
丹东百特仪器有限公司
药品应用? | 药典要求及新药开发必备检测神?/a>
为制药检测保驾护航大昌华嘉科学仪器部专业提供分析仪器及设备,代理众多欧美先进品牌。多年来深耕于制药领域,在药品研制、生产、检验、使用等方面拥有独特的优势和技术。确保用户在开发工作流程的所有阶段快速、可靠、自信地做出决策。我们不仅为用户提供互补的物性及化学表征分析,同时依靠我们对应用的理解,让大家能够获得应用软件和应用案例的充分支持。Rudolph 旋光仪Autopol旋光系列《中国药典?020年版四部通则...
访问公司展台
进入产品中心
发表于:2021-11-04 访问量:
1357
来源9span class="font14">
大昌华嘉科学仪器?/a>
桂林矿机煤粉立式磨粉机用什么型号?
桂林矿机煤粉立式磨粉机用什么型号?由于煤有自燃的特点,加之借助磨粉机将煤磨成粉后,表面积增大,燃烧性更强,具有很强的易燃性,这成为将煤磨成细粉的一个技术瓶颈。煤粉立式磨粉机是一种集破碎、干燥、粉磨、分级、输送于一体的磨粉行业理想设备,用于煤粉制备可使产品细度满足行业及国家标准 一、引起粉磨煤粉的爆炸因素有哪些? 影响煤粉爆炸的因素很多,如挥发分含量,煤粉细度,气粉混合物的浓度、流速、温度、湿度和输送煤粉的气体?..
访问公司展台
进入产品中心
发表于:2021-11-03 访问量:
1084
来源9span class="font14">
桂林矿山机械有限公司
水平垂直燃烧试验机点火前注意事项
1. 煤气罐要配中压减压阀,煤气罐减压阀调到最大(螺杆全部拧进去,在外面露着的最少)?. 第一次使用时,接通燃气后要放一会儿,先把管道里的空气排掉?. 第一次点火要先将喷灯下端空气尽快用上面的滚花螺母全部盖住,点着火后再调节蓝色火焰?. 打火针在喷内灯口边缘上方,且距离喷灯口在5mm内?. 不能长期按住点火键不放,否则会造成点火器过载损坏每次点火时间不能超?...
访问公司展台
进入产品中心
发表于:2021-11-03 访问量:
806
来源9span class="font14">
北京中科微纳精密仪器有限公司
1
...
236
237
238
239
240
241
242
243
244
...
415