甘肃二通机械制造有限公号/div>
首页 > 产品中心 > 加料 > 振动给料朹/div>
产品详情
振动给料朹/div>
振动给料机的图片
参考报价:
面议
品牌9/dt>
二通机械制速/dd>
关注度:
415
样本9/dt>
暂无
型号9/dt>
振动给料
产地9/dt>
甘肃
信息完整度:
典型用户9/dt>
暂无
加料机类型:
其他
工作原理9/div>
其他
产品简今/div>

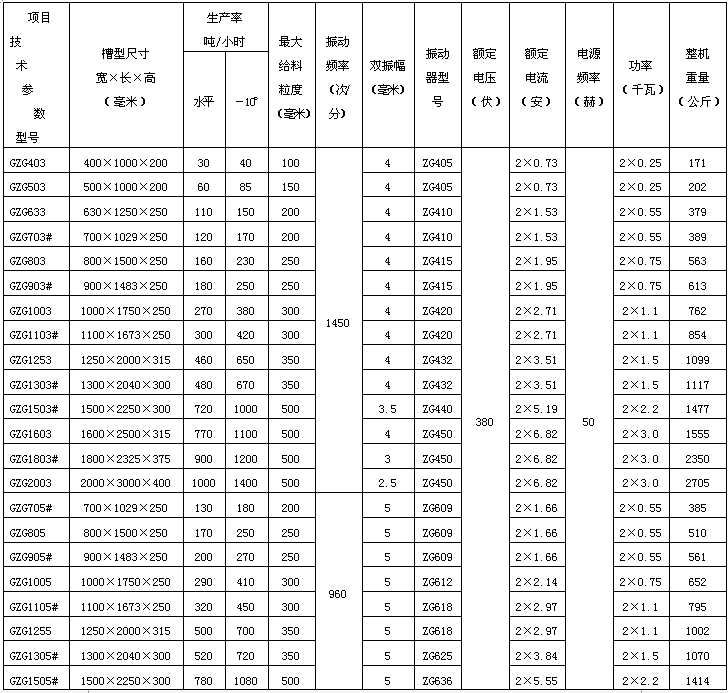
GZG系列自同步惯性振动给料机技术参?/span>?/span>1

QQ截图20150526101655.png

QQ截图20150526101707.png

GZY-系列振动给料朹/p>

概述

GZY系列振动给料机适用于煤炭、冶金、建材、交通等部门,各种散装物料的给料、/p>

结构特点

1、给料机电机为挠性联接,电机不参振,运行可靠,故障率极低:/p>

2、给料机振幅频率(加变频调速器)和槽体倾角,均可调。具体可根据物料特性,由设计单位确定;

3、给料机安装形式,有四种支撑和悬吊方式,供用户选择:/p>

4、料槽可配置各种衬板、/p>

与其他类型给料机相比具有以下优点

1、高效节能与其他类型给料机相比具有给料量大,耗能?5%?10%左右:/p>

2、运行可靠,故障少电机不参振,改善了运行条件,维修方便,运行周期长而不坏;

3、振幅、频率可调对运送物料水分和粒度变化,有较强的适应性,激振力和运*可调、易于配套参与自动控制;

4、结构紧凑,布置方便,可加衬板;


  • 推荐产品
  • 供应产品
  • 产品分类