安徽科幂仪器有限公司
金牌会员
已认?/p>


王洪亮老师课题练/strong>
中国农业大学
1、老师简今/strong>
王洪亮老师是中国农业大学教授,博士生导师。入选了2022?023年全球前2%顶尖科学家榜单,受聘中国农业大学首批“人才培育发展支持计划”青年新 A 类岗位。主持国家自然科学基金、重点研发计划子课题、重大横向项目等10余项。长期聚焦于生物质高效、高值转化利用研究工作,针对我国秸秆等生物质高值化利用率低、资源浪费严重这一重大问题,利用化学、化工、生物和农学等多学科的知识和研究手段,深入研究了木质纤维素类生物质拆解活化、修饰改性及降解转化过程中的基本科学问题和关键技术,将生物质转化成化学品和农业绿色投入品等高值产品。近几年在ACS Energy Letters、Advanced Functional Materials、ACS Nano、Green Chemistry、Renewable and Sustainable Energy Reviews等期刊上发表论文90余篇,申请国内外发明专利10余项。担任了专业领域期刊Carbon Research、Biochar、Agronomy、《燃料化学学报》、《林产化学与工业》编委或青年编委、/p>
2、论文研究背?/strong>
利用可再生生物质资源代替化石资源生产燃料和化学品是实现可持续发展和“双碳”目标的重要路径之一。半纤维素衍生的糠醛(FFA)因其独特的化学结构(由呋喃环和醛基组成),可以通过加氢反应转化为多种先进燃料和高附加值化学品、/p>
环戊酮(CPO)是一种用途广泛的中间体,不仅可用于合成农药、药品、橡胶和香料化学品,还可用作生产高密度多环航空喷气燃料的前体。环戊醇(CPL)也广泛应用于制药、香料和杀虫剂行业,可用作重要的中间体或溶剂。目前,CPO和CPL的工业生产依赖于己二酸热解和环戊烯的直接氧化。鉴于化石资源不可再生和日益严重的环境问题,将可再生的生物质衍生糠醛高选择性转化为CPO和CPL无疑是一条更具前景的生产途径。然而,当前用于催化FFA转化为CPO和CPL的催化剂仍然面临着各种挑战,如需要在较为苛刻的反应条件(高温和高压)下进行、贵金属催化剂成本高以及非贵金属催化剂选择性低等。因此,迫切需要开发高效、低成本的催化剂,用于在工业相关条件下进行糠醛的选择性加氢反应、/p>
过渡金属磷化物(TMPs)具有优异的氢化活性和稳定性,作为贵金属催化剂的经济替代品受到了广泛关注。尤其是磷化镍催化剂在生物质含氧化合物的氢化或加氢脱氧反应中也表现出了卓越的催化性能。然而磷化镍催化剂的合成依然存在三个主要问题:(i)利用磷酸盐路线合成磷化镍催化剂通常需要高温热解,这往往会导致形成大尺寸晶体,进而降低催化剂的活性和稳定性。(ii)已报道的大多数磷化镍催化剂合成方法都使用次亚磷酸盐(NH4H2PO2或NaH2PO2)或有机膦(三正辛基膦或三苯基膦)作为磷源。前者在合成过程中会释放出有毒和可自燃的PH3气体,而后者则会因有机试剂的高温分解而产生腐蚀性和易燃性。(iii)虽然存在各种具有特定P/Ni摩尔比的磷化镍晶相(Ni3P、Ni12P5、Ni2P、Ni5P4等),但实现不同晶相磷化镍的可控合成仍是一项重大挑战。此外,磷化镍晶相与催化加氢性能之间的相关性也鲜有报道。因此,开发一种创新、安全、环保的方法来相控合成活性相高度分散的磷化镍催化剂,对于生物质转化具有重要的意义和实用价值、/p>
3、论文亮?摘要
文章亮点9/span>?)利用植酸辅助热解策略实现了不同晶相磷化镍催化剂的可控合成,植酸上的磷酸基团可以螯合Ni2+,有利于磷化镍纳米颗粒在介孔二氧化硅上的均匀分散。(2)磷化镍催化剂在糠醛加氢过程中表现出有趣的相依赖催化性能。Ni12P5/mSiO2可以高选择性催化糠醛加氢重排到环戊酮,产率最高可达到97.3%,Ni3P/mSiO2则可将环戊酮进一步氢化为环戊醇。Ni3P/mSiO2对加氢和重排表现出温度可控选择性,低温下主要生成糠醇,高温下,则主要生成环戊酮。(3)研究表明晶体结构通过改变的磷化镍催化剂的氢化活性、酸性位点数量和糠醛在表面的吸附构型,从而影响糠醛加氢转化的选择性、/p>
摘要9/span>开发廉价高效的催化体系将生物质糠醛高选择性加氢转化为高附加值化学品具有重大研究意义也是一项巨大挑战。本文报道了一种“植酸辅助热解”策略,通过调控植酸在介孔二氧化硅上的涂覆量实现了三种晶体结构磷化镍(Ni3P/mSiO2、Ni2P/mSiO2、Ni2P/mSiO2)催化剂的可控制备。不同晶体结构的催化剂具有不同物化特性和电子结构,因而在催化糠醛加氢转化反应中展现了不同的催化选择性。Ni12P5/mSiO2?50 °C, 1 MPa H2的条件下实现?7.3%的环戊酮产率,当H2压力增加? MPa时,Ni3P/mSiO2可以进一步氢化环戊酮生成环戊醇,产率?0.8%。Ni2P/mSiO2对加氢和重排表现出温度可控的选择性,?0 °C的低温下,糠醇为单一产物,而在高温?70 °C)下,环戊酮为唯一产物。研究表明不同磷化镍催化剂之间的加氢重排选择性主要归因于催化剂的氢化能力和酸性位点数量以及糠醛的吸附构型、/p>

4、图文解枏/strong>
1、植酸辅助热解策略相控合成磷化镍催化剁/span>

?:NixPy/mSiO2催化剂的合成示意国/span>
不同晶体结构的NixPy/mSiO2催化剂的合成步骤主要分为三步:(i)首先将mSiO2充分分散在不同浓度的植酸(PA)溶液中,使得PA分子均匀的涂覆在mSiO2 的表面形成PA-mSiO2复合物;(ii)得益于PA分子具有6个磷酸基团,使其对Ni2+具有很强的螯合能力,从而形成Ni2+/PA-mSiO2复合物。(iii)在还原过程中,PA作为P源,合成NixPy/mSiO2催化剂、/p>

2:(a)Ni/mSiO2;(b)Ni3P/mSiO2;(c)Ni12P5/mSiO2;(d)Ni2P/mSiO2的TEM图像?0 nm)。(e)Ni/mSiO2,(f)Ni3P/mSiO2,(g)Ni12P5/mSiO2和(h)Ni2P/mSiO2的HRTEM 图像?0 nm)及其相应的晶格纹图僎/span>
传统浸渍法合成的Ni/mSiO2催化剂上的Ni纳米颗粒出现了团聚现象,Ni纳米颗粒的平均粒径约?.56 nm。Ni3P/mSiO2、Ni12P5/mSiO2和Ni2P/mSiO2三种磷化镍催化剂上的Ni纳米颗粒则分散得较为均匀,它们的平均粒径分别?.76?.58?.40 nm。该结果表明PA对Ni2+的亲和力有利于最终催化剂上Ni纳米颗粒的均匀分散。值得注意的是,Ni纳米颗粒的分散程度与PA涂覆量的关系并不是“越多越好”,过度的PA也会引起Ni纳米颗粒的富集,从而降低其的分散度、/p>
2 催化剂的酸性表?/strong>

3:(a)Ni/mSiO2、Ni3P/mSiO2、Ni12P5/mSiO2和Ni2P/mSiO2催化剂在200 °C时的NH3-TPD曲线和(b)吡?傅立叶变换红外光谰/span>
Ni/mSiO2分别出现了以86?52?01 °C 左右为中心的三个弱峰,总酸量为3.43 mmol/g。而NixPy/mSiO2催化剂的峰值主要分布在弱酸和强酸位点。其中Ni3P/mSiO2和Ni12P5/mSiO2的脱附曲线在100 °C左右出现一个强信号峰,表明存在大量弱酸位点,他们的总酸量分别提高到6.34?.48 mmol/g。而Ni2P/mSiO2酸量较低只有2.8 mmol/g、/p>
Ni/mSiO2的Lewis酸和Brønsted酸性位点的数量分别?.34?02.8 μmol/g。三种磷化镍催化剂的Brønsted酸性位点的数量随着P/Ni比的增大而升高,顺序为Ni3P/mSiO2?.32 μmol/g?lt; Ni12P5/mSiO2?.88 μmol/g?lt; Ni2P/mSiO2?2.68 μmol/g)。值得注意的是,Ni3P/mSiO2和Ni12P5/mSiO2中的Lewis酸性位点数量显著增加,分别提高?44.5?30 μmol/g。根据以往的研究报道,Lewis酸性位点能够促进糠醛环重排反应的进行。因此,磷化镍的晶体结构对催化剂的酸性位点数量起着决定性作用,从而影响催化性能、/p>
3. 糠醛加氢催化活性评件/strong>

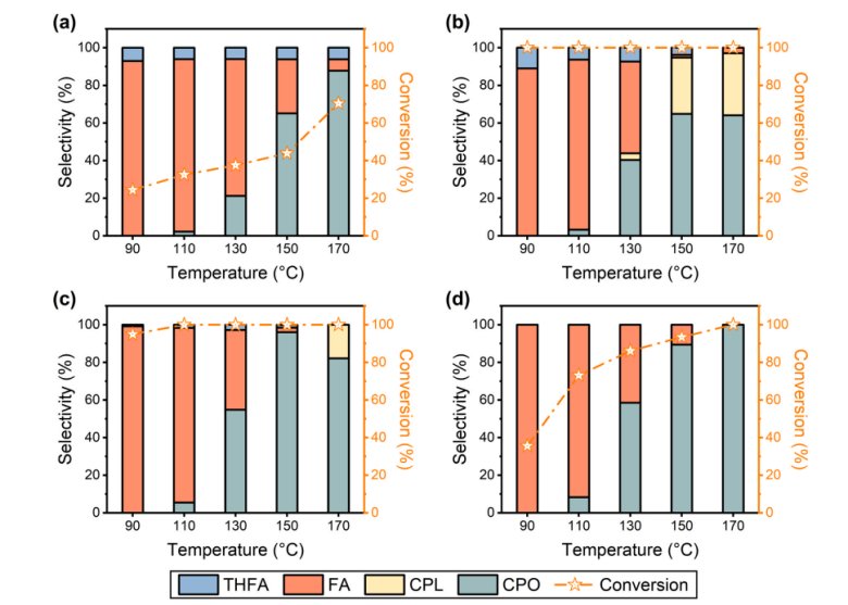
4 :温度对FFA转化率和产物选择性的影响(a: Ni/mSiO2, b: Ni3P/mSiO2, c: Ni12P5/mSiO2, d:Ni2P/mSiO2)。反应条件:2 mmol FFA?0 mg 催化剂,20 mL H2O? MPa H2?0-170 °C? h

5:初始H2压力对FFA转化率和产物选择性的影响(a: Ni/mSiO2, b: Ni3P/mSiO2, c:Ni12P5/mSiO2, d: Ni2P/mSiO2)。反应条件:2 mmol FFA?0 mg 催化剂,20 mL H2O?50 °C?-2 MPa H2? h

6 :FFA 转化率和产物浓度随时间变化趋势(a: Ni/mSiO2, b: Ni3P/mSiO2, c: Ni12P5/mSiO2, d:Ni2P/mSiO2)。反应条件:2 mmol FFA?0 mg 催化剂,20 mL H2O?50 °C? MPa H2 0-210 min
为了探究磷化镍的晶体结构(Ni3P、Ni12P5和Ni2P)对催化活性的影响,以Ni/mSiO2作为对照,优化反应温度,初始H2压力和反应时间系统研究了三种磷化镍催化剂对催化糠醛加氢的活性。Ni3P/mSiO2具有最高的加氢活性,?50 °C? MPa H2压力下获得了60.8%的环戊醇产率。Ni12P5/mSiO2因具有中等的加氢能力和丰富的Lewis酸性位点,?50 °C? MPa H2压力下反? h可以实现97.3%的环戊酮产率。Ni2P/mSiO2对加氢和重排表现出温度可控的选择性,?0 °C 的低温下,糠醇为单一产物,而在高温?70 °C)下,环戊酮为唯一产物。这归因于其对糠醛的倾斜吸附和Ni2P/mSiO2较弱的氢化能力、/p>
4. 糠醛加氢重排反应动力学探穵/strong>

7:(a, b)FFA和(c, d)FA转化率随反应温度和时间的变化,以及(e, f)Ni/mSiO2和Ni12P5/mSiO2上FFA和FA转化率的Arrhenius图。反应条件:2 mmol FFA/FA?0 mg 催化剂,20 mL H2O?.0 MPa H2?-40 min
?30-160 °C条件下,FFA和FA的转化率与反应时间呈线性关系,反应速率(线的斜率)也随着温度的升高而增加。ln k?000×1/T之间呈线性关系,表明反应体系符合一阶反应动力学行为,并根据阿伦尼乌斯方程(ln k = −Ea/RT+C)拟合线的斜率计算出表观活化能。在Ni/mSiO2和Ni12P5/mSiO2上的FFA加氢活化能分别为18.5?7.85 kJ/mol,这表明P的存在会略微降低加氢活性。相比之下,Ni12P5/mSiO2上FA 重排的活化能?3.8 kJ/mol,低于Ni/mSiO2的活化能?3.3 kJ/mol)。结果表明Ni12P5/mSiO2比Ni/mSiO2具有更高 FA 重排活性、/p>
5. 糠醛加氢重排反应机理探究

8 :Ni12P5?01)表面FFA加氢重排生成CPO的反应机理示意图。插图显示了Ni?11),Ni12P5?01)和Ni2P?01)表面上FFA加氢重排生成CPO的计算能量分布。数字代表相应中间体的吸附能
首先,FFA通过C=O基团倾斜吸附在Ni12P5?01)表面,吸附能为?.83 eV。然后,H2被激活,攻击Ni金属位点上FFA的C=O,生成FA。随后,FA在水的存在下发生环重排反应生?-羟基-2-环戊烯酮?-HCPEO),并通过脱水反应迅速转化为2-环戊烯酮?-CPEO)。最后,2-CPEO被迅速氢化为CPO,后者从催化剂表面脱附,完成整个反应。经计算,从FA到CPO的整个步骤都是放热的,能量顺序为Ni12P5?.11 eV?gt;Ni2P?.57 eV?gt; Ni?.32 eV),这表明P的存在有利于重排反应。对于Ni?11),C5H6O*加氢生成 C5H8O是限速步骤,能垒?.60 eV,这主要是由于平躺式吸附构型导致CPO脱附困难。而Ni2P?01)和Ni12P5?01)的限速步骤是C5H8O2*脱水为C5H6O*,能垒分别为0.22和−0.04 eV。结果表明,倾斜的吸附构型明显有利于CPO的脱附,从而促进了整个反应。此外,Lewis酸性位点对FA的环重排反应也起到了重要的促进作用、/p>
5、本文所用设夆/strong>
王洪亮老师课题组在实验中所?span style="color: rgb(0, 112, 192);">高压机械反应釛/span>由科幂仪器提供,论文中也特别提到安徽科幂仪器有限公司,在此非常感谢老师对科幂仪器的选择和认可、/p>



科幂仪器
安徽科幂仪器有限公司(Anhui Kemi Instrument Co.,LTD.)成立于2014年,总部设在安徽省合肥市,拥有近万平方米的研发制造基地。公司持有A2级中国特种设?压力容器制?生产资格许可证,是一家专注于科研仪器设备和中小试及产业化合成反应装备研发、制造的国家高新技术企业、/p>
科幂仪器依托中国科学技术大学等雄厚的科研力量,研制了多款具有自主知识产权的合成反应设备。技术驱动、方案营销,专注于非标方案的设计和多维立体化服务。产品已成功进驻国内所?85?11高校实验室及新材料、新能源、生物制药、生态环境等战略新兴产业头部企业,并远销欧美、澳洲、中东等地,覆盖国内外科研及企业客户20000余家,助推研发应?000余项,助力用户发表SCI(一区)论文900余篇?nbsp;
作为央视《中国品牌故事》入选企业、安徽省专精特新企业、合肥市工业设计中心,科幂仪器秉承“严谨专业·创新高效·精益求精·创造价值”的科幂精神,致力于用专业和品质推动产业化的发展,为科研工作者加速取得科研成果提供更加“安全·便捷·精确·高效”的仪器设备、/p>

公司主营科研仪器设备和中小试及产业化合成反应装备、/strong>如:水热釜、快开式高压反应釜、高温炉式设备(热解?CVD?回转?真空?热重炉等)、固定床、催化剂评价装置、光催化反应装置、LED单波长光源、非标定制设备等、/p>