1 平/span>
高级会员
已认?/p>

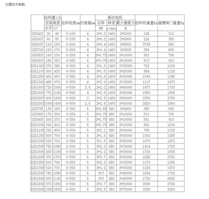
GZG振动给料朹/div>
报价9span>面议
品牌9/td> | 丰泉机械 |
产地9/td> | 河南 |
关注度: | 577 |
型号9/td> | GZG振动给料朹/td> |
核心参数
加料机类型:其他
工作原理9span>其他
产品介绍
问商宵/div>
- GZG振动给料机的工作原理介绍>/li>
- GZG振动给料机的使用方法>/li>
- GZG振动给料机多少钱一台?
- GZG振动给料机使用的注意事项
- GZG振动给料机的说明书有吗?
- GZG振动给料机的操作规程有吗>/li>
- GZG振动给料机的报价含票含运费吗>/li>
- GZG振动给料机有现货吗?
- GZG振动给料机包安装吗?
河南丰泉机械有限公司为您提供丰泉机械GZG振动给料机,GZG振动给料机产地为河南,属于加料机,除了GZG振动给料机的参数、价格、型号、原理等信息外,还可为您提供无轴螺旋输送机、梨式卸料器、电磁给料机
工商信息
企业名称
河南丰泉机械有限公司
企业类型
信用代码
91410704330181465W
法人代表
注册地址
成立日期
注册资本
有效期限
经营范围
留言咨询
