白金会员
已认?/p>
研究背景
由轻质聚合物和高强度金属组成的混合结构,对于推动航空航天、汽车制造和轨道交通等关键工业领域的进步至关重要,这与全球节能减排的战略目标高度契合。然而其核心挑战在于实现这两种物理和化学性质迥异材料间的持久可靠连接。传统的连接方式,如胶接和机械紧固,存在诸多局限性。胶接易受环境因素影响而老化,可靠性有限。机械紧固则会引起应力集中、增加额外重量,并可能破坏结构的密封性,这些都可能影响产品的长期性能,并增加制造成本与工艺复杂性、/p>
为了突破上述瓶颈,开发能够制造高强度、轻量化、高性价比混合结构的先进连接技术已成为迫切的战略需求。以摩擦搭接焊为代表的热机械焊接技术,通过局部加热和施加压力,为实现异质材料间的高质量界面结合提供了极具前景的解决方案。但在焊接过程中,界面处气泡和裂纹等缺陷的形成,仍然是阻碍其广泛应用的主要技术障碍。因此,深入理解界面结合的内在机理,并系统研究工艺参数对连接质量的影响规律,对于充分发挥这类混合材料结构的潜力、满足现代工业的战略发展要求,具有至关重要的科学意义和应用价值、/p>
针对上述问题,由中国科学院金属研究所、中国科学技术大学组成的团队利用泽攸科技ZEM系列扫描电镜进行了深入研究,团队通过建立创新的“热压比”模型,精准调控了铝合金与PEEK摩擦搭接焊的界面反应并成功消除焊接气泡,实现了高?5%基材强度的无缺陷连接、/p>
标题:Interfacial bubble formation and bonding mechanisms in aluminum alloy/polyetheretherketone (PEEK) friction lap welding
期刊:Thin-Walled Structures
网址9/p>
焊接缺陷的溯源与形貌表征
研究的首要挑战在于解决铝合金与PEEK这种异质材料在摩擦焊接过程中普遍存在的界面气泡和微裂纹等缺陷。团队系统性地调整了焊接转速、速度和下压深度等关键工艺参数,并对不同参数下获得的接头进行了细致的分析、strong>为精确揭示这些微观缺陷的形貌、尺寸与分布,研究人员利用泽攸科技ZEM系列扫描电子显微镜对焊缝的横截面进行了高倍率观察、/strong>结果清晰地显示,不当的热量输入会导致PEEK材料熔融不均或过度降解,从而在界面处形成大小不一的气泡,这些气泡严重影响了界面的连续性和接头的可靠性、/p>
不同焊接参数下的摩擦搭接焊接头(FLW)横截面
?nbsp;?200?00?.2参数下制备的摩擦搭接焊接头(FLW)横截面形貌?a) 气泡 (b) 结合界面
?nbsp; (a) 摩擦搭接焊接头(FLW)横截面示意图,以及?000?00?.0参数下制备接头的横截面SEM图像?b) 工具作用区,(c) 工具作用区的高倍放大图?d) 工具影响匹/p>
“热压比”模型的建立与性能优化
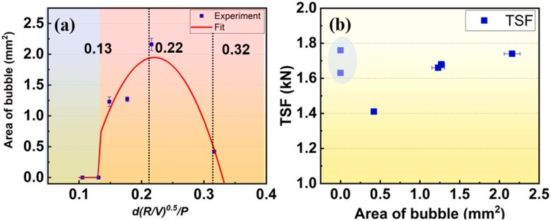
为从根本上控制并消除缺陷,团队并未停留在现象观察,而是创新性地提出了一个量化模型——“热压比(U)”。该模型将热量输入(与转速、焊接速度、下压深度相关)与轴向压力两个核心物理量相结合,构建了一个无量纲参数。研究发现,界面缺陷的形成与“热压比”存在明确的对应关系:当U值低?.13时,气泡主要源于PEEK的冷却收缩,可通过增大压力来抑制;当U值高?.13时,气泡则由PEEK的热分解产生,需要精细调控热量来避免。通过该模型的指导,团队成功找到了U=0.13这一最优工艺窗口,实现了气泡的完全消除,接头的拉剪强度达到?.76 kN,相当于PEEK母材强度?5%。对最优接头断裂后的形貌进行的泽攸科技扫描电镜分析进一步证实,其断裂模式已从脆弱的界面分离转变为PEEK材料内部的韧性断裂,这直观地证明了界面结合的高质量、/p>
气泡面积 (a) 热压比参 d(R/ν)??P (b) 拉剪强度 (TSF) 的关糺/p>
在不同参数下制备的接头工具作用区的横截面SEM图像
界面原子尺度键合机理的深度解枏/strong>
在获得无缺陷、高强度的接头后,研究的焦点转向了更深层次的科学问题:铝合金与PEEK之间究竟是如何实现如此牢固的结合?为了揭示原子尺度的连接机理,团队利用X射线光电子能谱(XPS)技术对最优参数焊接后的界面进行了化学成分分析。分析结果惊人地发现,界面处形成了两种关键的化学键合:一是PEEK分子链上的羰基(-C=O-)与铝合金表面的氧化铝发生了反应,形成了稳定的C-O-Al化学键;二是铝合金表面的羟基?OH)与PEEK中的醚键(R-O-R)之间形成了广泛的氢键网络、strong>这一发现与通过泽攸科技扫描电镜观察到的两种材料间紧密无缝的界面形貌高度吻合,证明了强大的化学键合与物理吸附共同作用,是实现高强度连接的根本原因、/strong>
(a) ?200?00?.0参数下制备的摩擦搭接焊接头(FLW)的整体断口形貌?052Al铝合金一侧在 (b) 工具影响区和 (d–e) 工具作用区的断口形貌;PEEK一侧在 (c) 工具影响区和 (f) 工具作用区的断口形貌
(a) C1s?b) O1s的XPS谱图,采?000?00?.0参数焊接后的5052Al表面,以 (c) 通过摩擦搭接焊(FLW)实现的5052Al/PEEK结合机理示意国/p>
泽攸科技ZEM系列扫描电镜是一款集成度高、便携性强且经济实用的科研设备。它具备快速抽真空、高成像速度、多样的信号探测器选择,适用于形貌观测和成分分析,还能适配多种原位实验需求。该设备对安装环境要求低,不挑楼层,操作简单,非专业人士也能快速上手,能够更广泛地应用于新材料研发、生命科学、失效分析、工业质检等多个领域,为广大科研院所和企业用户提供了一套兼具高性能与高性价比的强大微观表征解决方案、/p>
泽攸科技ZEM系列扫描电镜


