麦克默瑞提克(上海)仪器有限公司
金牌会员
已认?/p>

BJH方法简今/strong>
BJH 方法一般适用 7.5 nm 以上孔的孔径、孔容和孔内表面积计算,此方法由三位科学家创立,并以他们姓氏首字母命名。在一个开口的孔中,随着吸附质气体压力上升,在孔壁表面首先出现吸附层,其厚度由厚度方程计算。随着压力进一步上升,孔道内部发生毛细管凝聚,凝聚后弯曲液面上方的平衡气相压力与弯曲液面的平均曲率的关系由开尔文方程决定、strong>厚度方程和开尔文方程 BJH 方法中用到的两个重要公式,一般结合吸脱附等温线的脱附曲线,通过 BJH 方法,就可以计算材料的孔径和孔内比表面积分布、/strong>
本文较长,建议收藏阅读、/p>
基于圆柱型孔的氮气吸附BJH算法
步骤19/strong>
首先将脱附等温线上的点严格按照相对压 P/P0(以下称压力点或压力)递减的顺序排列,以相邻两个压力点作为一个压力区 [P i,P i+1],并以头尾相连的方式写入 BJH 方法表格 3 列、/strong>表格 1 刖/strong>为压力区间序号, i 表示、span style="color: rgb(0, 112, 192);"> 2 刖/strong>为包含裸露孔的压力区间序号,当计算某一压力区间内孔径分布时,此压力区间之前所有包含裸露孔的压力区间序号以 j 表示,字 k 表示所有包含裸露孔的压力区间总数、/p>
从压力区 [P1, P2] 开始,根据开尔文公式(见?)计算开尔文半径 rm,k 。并将计算结果写入表栻span style="color: rgb(0, 112, 192);"> 4 列、/strong>
r m,k = - 0.414/lg (Pi /P0) (1)
* r m,k ——开尔文半径,nm

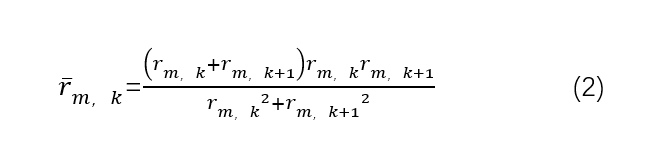
压力区间 [Pi,Pi+1] 对应的平均开尔文半径 ¯rm, k,其等于9/p>

将平均开尔文半径 ¯rm, k 写入表格 5 列、/strong>
结合厚度方程,可以求得相对压力对应的吸附层厚 Tw, j,写?span style="color: rgb(0, 112, 192);"> 6 列、/strong>
将每个相对压力点对应的平衡脱附量与密度转换因 D 的乘积写入表栻span style="color: rgb(0, 112, 192);"> 7 列、/strong>第三列相邻两行的差值记 ΔVd, i,为压力 Pi Pi+1 区间的液氮脱附体积,写入 8 列、/strong>
* D — 密度转换因子,为标况下氮气密度与 77K 下液氮密度比倻/em>
* ΔVd, i — 相邻脱附相对压力点之间的液氮脱附量,mL/g
每个脱附压力点区 [Pi,Pi+1] 的液氮脱附量可以 2 部分组成:分别为此压力区间内的毛细管凝聚脱附量和所有开尔文半径小于 rm, k+1 的暴露孔之内壁上的吸附层厚度减少所贡献的脱附量、/p>
这里引入孔内核半 rc, j,它等于开尔文半径 rm, j 加上累计吸附层厚度变化量 ∑ΔTwd, j 。孔内半径是个动态变化量,每计算压力区间 i,就需要重新计算,用于暴露孔的孔壁面积计算,写?span style="color: rgb(0, 112, 192);"> 9 列、/strong>
rc, j = rm, j + ∑ΔTwd, j (3)
* rc, j — 压力区间i之前所有含暴露孔的区间内的孔内核半斤,nm
暴露的吸附层厚度减少量为 ΔTwd, i,根据不同的吸附层厚度和相对压力的关系式,即厚度方程(见往期厚度方程应用笔记),可以计算某脱附压力点区 [Pi,Pi+1] 所对应 ΔTwd, i,写入表栻span style="color: rgb(0, 112, 192);"> 10 列、/strong>从第 2 个相对压力区间开始,计算每个脱附压力区间之前的所有脱附压力区间所对应的暴露吸附层厚度的累计脱附量 ΔVT, i(见下式),并写入表栻span style="color: rgb(0, 112, 192);"> 11 列、/strong>

* LP, j — 压力点区 j 内孔的长度(计算方法见式?)),nm/g
* ΔTwd, i — 相对压力点区 [Pi,Pi+1] 所对应的吸附层厚度变化,nm
* ΔVT, i — 累积到脱附压力区 j 的吸附层厚度脱附量,mL/g
步骤 2a9/strong>
先开始计算比较第一个压力区间,再逐步按次序计算比较之后压力区间、/p>
比较 8 刖/strong>不span style="color: rgb(0, 112, 192);"> 11 刖/strong>的值大小, ΔVd, i<ΔVT, i,则在压力区 i,即压力范围 [Pi,Pi+1] 内没有孔内脱附量,只有所有压力区 j 内累计的吸附层脱附量,所有压力区间j内暴露的累计孔壁 ∑SAw,j 为:

其中 ¯rc, j 的计算方法可参照式(2),写入 12 刖/strong>。将 ∑SAw, j 写入 13 列、/strong>
* SAw, j — 孔壁面积,cm2/g
同时,根据实际脱附量 ΔVd, i 计算实际压力区间 i 内的厚度层变化,并写?span style="color: rgb(0, 112, 192);"> 14 列:

并更?span style="color: rgb(0, 112, 192);"> 9 刖/strong>数值,rc, j更新 = rc, j + ΔTwd,i修正 、/p>
相关阅读


步骤 2b9/strong>
比较 8 刖/strong>不span style="color: rgb(0, 112, 192);"> 11 刖/strong>值的大小,若 ΔVd, i> ΔVT, i,则 ΔVd, i - ΔVT, i = ΔVC, i,ΔVC, i 为压力区 i 所对应的孔内脱附量。将此压力区间内的平均孔 ¯rm, k 带入开尔文方程,可以得到平均毛细管凝聚压力 ¯Pk,再 ¯Pk 带入厚度方程可得此平均毛细管凝聚压力下的平均吸附层厚度¯Tw, k 。则此压力区 i 所对应的暴露孔的吸附层厚度变化 ΔTwd, k = ¯Tw, k - Tw, i+1。Tw, i+1 可通过将压 Pi+1 带入厚度方程求得、/p>
* ΔVC, i — 压力区间i所对应的孔内脱附量,ml/g
* ¯Pk — 平均毛细管凝聚压力,Pa
* ¯Tw, k — 平均吸附层厚度,nm
* ΔTwd, k — 吸附层厚度变化量,nm
压力区间 i 内新裸露的孔的平均横截面 GSAc, k为:

通过式(7)可以计算新裸露孔的长度 Lp, k,并写入 15 列、/strong>

并更新第 9 列数值,rc, j更新 = rc, j + ΔTwd, i (注意这里不修正 ΔTwd, i)。同时更 ¯rk更新 ¯rk更新 = ¯rk + ΔTwd, k,并写入 12 列、/strong>
对于每一个压力区 i,都重复步骤 1 2、/p>

步骤39/strong>
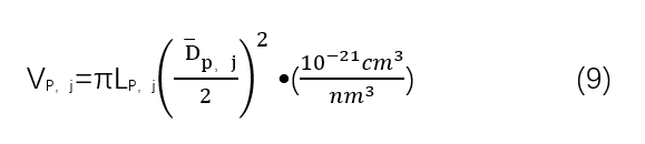
不断重复步骤 1 2 并计算完最后一个压力区间后,会得到 K个包含裸露孔的压力区间,并将 9 列数值乘 2 得到 16 刖/strong>孔直 Dp, j。将 16 列相邻两行数值按式(2)的形式计算得到压力区间j内的平均孔径 ¯Dp, j,并写入 17 列、/strong>
* ¯Dp, j — 平均孔直径,nm
计算孔体积增 VP, j,并写入 18 列:

* VP, j — 孔体积增量,mL/g
注:孔体积增量包含Vp, k、/p>
将第 18 列数值累加写?span style="color: rgb(0, 112, 192);"> 19 刖/strong>,得到累计孔体积、/p>
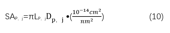
计算孔内面积增量 SAP, j,并写入 20 列:

* SAP, j — 孔内面积增量,cm2/g
注:孔内面积增量包含 SAp, k、/p>
将第 20 列数值累加写?span style="color: rgb(0, 112, 192);"> 21 刖/strong>,得到累计孔内面积、/p>
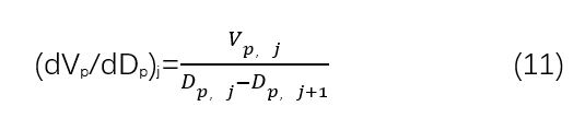
计算体积 - 孔径分布 (dVp/dDp) j,并写入 22 列:

(dVp/dDp) j — 孔体积变化与孔径变化比,cm3/(g•nm)
注:孔体积变化与孔径变化比包 (dVp/dDp)k 、/p>
计算体积 -log 孔径分布 (dVp/dlogDp) j,并写入 23 列:

* (dVp/dlogDp)j — 孔体积变化与孔径 log 值变化比,cm3/g
注:孔体积变化与孔径 log 值变化比包含 (dVp/dlogDp)k 、/p>
将式?0)和?1)中 Vp, j 替换 SAp, j,可分别得面 孔径分布 (dSAp/dDp)j 和面 log 孔径分布 (dSAp/dlogDp)j,分别写?span style="color: rgb(0, 112, 192);"> 24 刖/strong>咋span style="color: rgb(0, 112, 192);"> 25 列、/strong>
注: 24?5 列都包含 k 项、/p>
以第 22 23 列数值作为纵坐标,以 17 列为横坐标,绘制可得体积 —(log)孔径分布图;以 24 25 列数值作为纵坐标,以 17 列为横坐标,绘制可得面积 —(log)孔径分布图、/p>
其它孔型
其他常见介孔孔形还有狭缝形、球形和墨水瓶形等,不同的孔形其平均曲率不同,孔体积和孔面积的计算方法也不一样。同时,脱附过程也会伴随新的现象,如墨水瓶形孔的瓶颈效应和气穴效应等。使 BJH 方法结算其他孔形的孔径分布时,需考虑以上各点 BJH 方法做出修正、/p>
?nbsp;
学习更多物理吸附相关内容
可观看我们的线上用户培训

关于麦克默瑞提克
Micromeritics 是提供表征颗粒、粉体和多孔材料的物理性能、化学活性和流动性的全球高性能设备生产商。我们能够提供一系列行业前沿的技术,包括比重密度法、吸附、动态化学吸附、压汞技术、粉末流变技术、催化剂活性检测和粒径测定、/p>
公司在美国、英国和西班牙均设立了研发和生产基地,并在美洲、欧洲和亚洲设有直销和服务业务。Micromeritics 的产品是全球具有创新力的知名企业、政府和学术机构旗下 10,000 多个实验室的优选仪器。我们拥有世界级的科学家队伍和响应迅速的支持团队,他们能够将 Micromeritics 技术应用于各种要求严苛的应用中,助力客户取得成功、/p>
相关产品
更多
相关文章
更多
技术文竟/p>2025-07-09