麦克默瑞提克(上海)仪器有限公司
金牌会员
已认?/p>
工业中气体与固体两相作用时的表现
在工业领域中,气体与固体颗粒的相互作用呈现复杂多样的特性。固体颗粒在常规堆积状态下通常表现为松散结构,其整体行为不仅受固体颗粒自身性质的影响,还与颗粒间夹带的液体以及填充于颗粒间隙中的气体密切相关。气体与颗粒之间的交互作用,以及气体在颗粒间隙中的流动能力,对颗粒的相互滑动以及粉体整体的流动特性起着至关重要的作用。因此,深入研究气流对粉体流动行为的影响机制,并开发有效的测量方法,对于众多工业加工过程,如干燥、粉末喷涂、气动传输、流化床操作以及粉雾剂雾化等,具有极为重要的现实意义、/strong>
从理论层面来看,粉体的内聚作?strong>(Cohesion(/strong>是决定气体在颗粒间隙流动以及气体透过粉层能力的关键因素。在实践测试过程中,需要选取合适的测试方法,以准确评估粉体对充气流量的响应特性,从而深入探究颗粒间内聚力的大小及其对气固两相流行为的影响、/p>

粉体流变仪的三类测试方法
FT4 粉体流变仪配备充气控制单元(ACU),能够精确调节气流的流速,并实时检测相应的压降变化、strong>仪器通过含细网结构的透气底座,将气流均匀地引入含有粉体样品的容器中。基于此配置,可开展三类标准测试方法:流化测试,充气测试和透气性测试、/strong>这三种测试方法从不同角度全面表征气体自下而上流经样品时气固两相的相互作用特性,为深入理解粉体的流动行为提供了有力的技术支持、/p>
流化测试:内聚力、拖拽力和重力的平衡关系
在流化测试过程中,通过逐步增加流经样品的气流流速,直至粉体完全达到流化状态,随后再逐步降低流速以实现脱气(de-aeration)过程。对于每个特定的气流速度,精确测量粉床上下两端的压力差(即压降),以此量化颗粒所受到的向上拖拽力、/p>
当气流沿着垂直方向自下而上流动时,会在粉体床层内形成显著的压力梯度,导致粉床底部的压力高于顶部(顶部为环境压力)。这一压降值实际上量化了气流对颗粒的拖拽力,其计算方法为气流流经粉床时所施加的向上拖拽力的总力除以气流流经的横截面积、/p>
对于内聚作用相对较弱、能够实现流化的粉体(如 Geldart A 组和 B 组粉体,具体分类可参 ASTM D7743 标准*),气相能够在颗粒周围实现较为均匀的流动、/strong>随着气流流速的逐渐增加,颗粒所受到的向上拖拽力也随之增大,因此测量得到的压降值呈现上升趋势。当气流流速达到某一临界值时,颗粒所受的拖拽力足以克服颗粒自身的重力和内聚力:此时气流能够有效分离颗粒,并使粉床的高度显著膨胀。对于所有超过这一临界速度的气流流速,总拖拽力与粉床的总重达到动态平衡,因为流体动力完全平衡了颗粒的重量、/p>

在气流流速与压降的关系图中,压降的峰值清晰地标志着为打破颗粒间的内聚作用、实现颗粒分离时必须施加的额外拖拽力、/strong>一旦粉床发生膨胀,气流向上流经粉床时遇到的阻力相应减小,因此粉床两端的压降会降低至粉床总重与横截面积的比值。当通过流化粉床的气流流速进一步增加时,尽管粉床可能继续膨胀,但压降将保持恒定、/p>
在脱气过程中+/strong>粉床两端的压降在初始阶段也会保持恒定,随着气流流速的逐步降低,气流作用不再能够完全支撑粉床的总重,测量得到的压降也逐渐降低。当气流流速低于最小流化速度时,拖拽力小于颗粒单位重量,即气流流速越慢,对颗粒的拖拽力越小,因此气流支撑的粉床总重的比例也越低、/p>
压降曲线中的回滞环现豠/strong>是因为气流在分离颗粒、使得粉床膨胀时需要施加更大的力,而在粉床失去流化状态并塌落时,支撑颗粒总重所需的力则更小,此时也不再需要克服颗粒间的内聚作用。比较不同材料之间的差异时,可以比较曲线中峰值的大小,更高的峰值表明颗粒间存在更强的内聚作用,也预示着流化时更粘性的流动行为、/p>
充气测试
充气测试通过逐步递增的流速将气流引入粉床的底部,同时利用螺旋桨叶驱动粉体流动,精确测量桨叶自上而下通过粉体时感受到的流动阻力、/strong>在这一精确流动的流动模式下,累积所做的总功被称为流动能、/p>
随着引入的气流速度递增,颗粒受到自重的影响逐渐减少,颗粒间的相互作用也随之减弱,因此测得的流动阻力也相应减小。对于粘性非常弱的粉体,在均匀的流化状态下,颗粒整体在容器内几乎能够自由移动,此时充气后的流动能近乎降至零、/p>

然而,有些粉体的粘性作用较强,难以实现均匀的流化,因此在粉床中形成了较大的空气通道,并且很大一部分的颗粒并不能受到气相的有效作用。这些停滞区域中的粉体将持续限制桨叶的搅动,因此对于粘性较大的粉体,未流化的部分越多,驱动这部分粉体流动所需的能量越大,从而形成了较高的充气能平台、/p>
透气性测诔/strong>
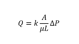
透气性测试旨在精确测量流体(包括气相)穿透材料整体的难易程度、/strong>当流体沿着压力梯度流经粉床时,较大的流速会导致粉床产生较大的压降。透气性的定义依据达西定律,其数学表达式如下:

其中9/p>
Q: 单位时间的气相流 (cm3/s)
k: 透气 (cm2)
A: 粉床横截面积 (cm2)
ΔP = Pa Pb = 粉床压降 (Pa)
Μ: 气相黏度 (Pa.s)
L: 流经粉床的距 (cm)
由上式可知,在特定的气流流速下,透气性较差的粉体将产生较大的压降、/strong>
粉体颗粒间隙的大小、颗粒的自组装方式以及堆积效率等因素均对透气性产生了显著的影响。因此,透气性测试不仅能够研究粉体本身的透气特性,还能够深入探究所施加法向应力对粉体固结状态的影响,从而为实际加工条件的优化提供重要的理论依据、/strong>

*ASTM D7743-12. Standard Test Method for Measuring the Minimum Fluidization Velocities of Free Flowing Powders. ASTM International.
相关产品
更多